Tanmay Bhonsale
59 posts


@probnstat @francoisfleuret Share that template would ya🥹
English

On the Rao- Blackwell Theorem in Statistics
Thanks to @francoisfleuret for providing me with the LaTeX template. I used the same to create what you see below!

English

@docmilanfar thanks a lot! @docmilanfar sir for sharing this, it would be great if you could share any book recommendations for calculus with matrices
English

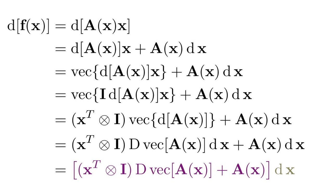
Functions f : ℝⁿ→ℝⁿ of the “pseudo-linear” form
f(x) = A(x) x
are common. For example: pixel-adaptive filters like non-local means; attention mechanism in transformers; even a convolutional layer with relu nonlinearity
Gradient of this f(x) has a form worth remembering:
Here ⊗ is the Kronecker product, and D is the differential operator
Df(x) = ∂f(x) / ∂xᵀ
The vec(A) column-stacks the matrix A into a vector, and 𝐈 denotes identity matrix.
1/2

English

#Interpretations" target="_blank" rel="nofollow noopener">en.wikipedia.org/wiki/Bayes%27_… real @depthsofwiki
English

When Jean Écalle (center), the father of modern resurgence theory, was contacted by Quanta with questions about the history of the subject, he responded by composing a 24-page treatise in six days. quantamagazine.org/alien-calculus…

English

@KangarooPhysics Gonna use this as an excuse next time my mum complains about my messy bookshelf
English

@jmlepstein But a more obvious reason would be e.g. a song transposed down more than 5 steps; many songs might sound more 'heavy' or even muddier. And when you transpose up the song might lose some depth and warmth. I wish I had better words to describe it lol.
English

@jmlepstein Yup
At least one reason that I can think of rn is that on an acoustic piano, the tone of each key is subtly different, thus giving a slightly different tonal character to the transposed version.
English

@fenilsuchak Everyone should just follow my superior understanding of life. Everybody will be better off.
English

@ilyasut Perhaps one day someone will mathematically (dis)prove that the working of either kind of neural unit, albeit different, leads to a system with the same behaviour and capabilities. Which in turn could lead to interesting possibilities for alien intelligence too.
English

@MelissaJeanSays @Natekmn @Kaine2380 @ed_solomon melissa, i'm sorry but twitter is not the place for sane and rational opinions
English

@Natekmn @Kaine2380 @ed_solomon Sometimes he cracks me, sometimes not but he's not a comedian and doesn't pretend to be. I just appreciate that he appreciates comedy. I'm all about bridges and finding common ground maybe it's a generational thing.
English

















