xdlol

42 posts

xdlol

xdlol

@gon_nmg

Katılım Mart 2019
95 Takip Edilen3 Takipçiler
Capitán General de los Tercios
Ahora que estamos en Semana Santa es buen momento para hablar de la película LA PASIÓN DE CRISTO. Antes de iniciar el rodaje, Mel Gibson avisó a Jim Caviezel que el personaje iba a ser muy difícil y, que si aceptaba el papel, podría acabar marginado en Hollywood. Jim pidió un día
Capitán General de los Tercios tweet mediaCapitán General de los Tercios tweet media
Español
428
9.1K
125.4K
15.5M
jesús
jesús@juvenal_tw·
@JHowlett73 @diazvillanueva Esa tabla tiene toda la pinta de ser inventada. Es altamente improbable que todos los años sea exactamente la misma diferencia, 2,5 puntos
Español
1
0
1
224
Díaz Villanueva
Díaz Villanueva@diazvillanueva·
Las comparaciones son odiosas si, pero sólo para una de las partes. Madrid vs Cataluña en cuatro gráficos. 🧵 1. PIB per capita en 2023
Díaz Villanueva tweet media
Español
156
1.2K
4.6K
666.2K
xdlol retweetledi
Movimiento 140
Movimiento 140@movimiento140·
Igual que si un conductor va por la autovía y ve a un peatón cruzar, aunque lo esté haciendo mal, debe reducir la velocidad e intentar no atropellarlo, un ciclista o patinetista debe reducir la velocidad cuando ve a un peatón en un carril bici. Sobre todo en carriles bici fake.
Movimiento 140 tweet media
Español
2
9
145
11.6K
xdlol
xdlol@gon_nmg·
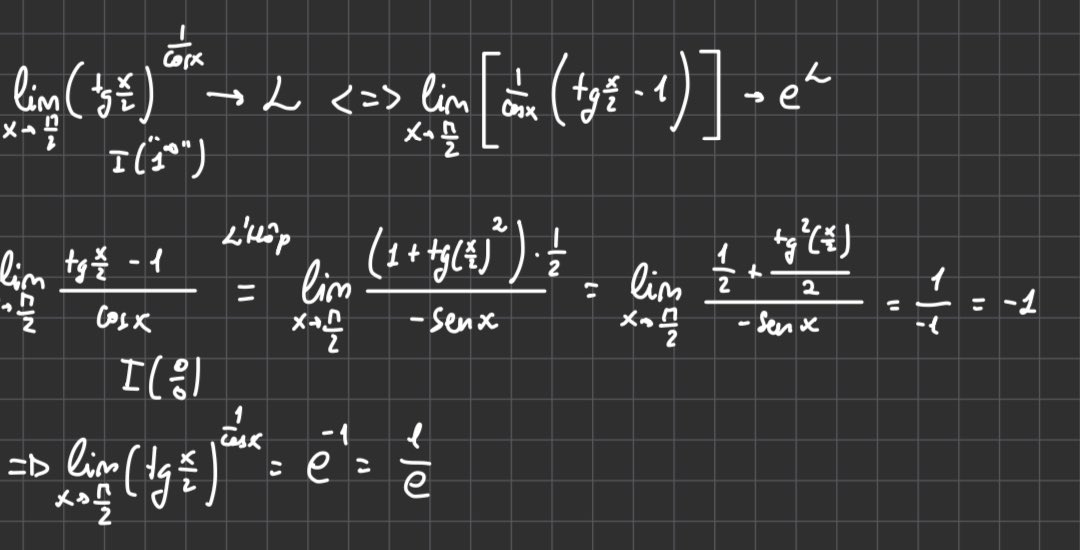
@AmoPhotograph @Julsst_ Oye que no digo que el examen sea difícil, pero que para resolver el límite has usado L'Hopital ehhh, así que tampoco os paséis con el chaval
Español
3
0
0
440
Adolfo Martinez
Adolfo Martinez@AmoPhotograph·
@Julsst_ Mira si le estás aplicando la regla de L’Hôpital a una indeterminación de 1^infinito deberías desinstalar twitter, dejar de llorar y ponerte a estudiar un poco. El límite se hace en dos líneas, y el examen no tiene mayor dificultad.
Adolfo Martinez tweet media
Español
4
3
45
2.7K
Julián
Julián@Julsst_·
mientras q en andalucia les regalan la evau esto es lo q nos han puesto a los madrileños xd dudo q ni los profes d mates d uni sepan hacerlo esq nos estan echando de la ciudad y aun tendre q irme a algun pueblo como sevilla o algo asi
Julián tweet mediaJulián tweet media
Español
483
70
1K
850K
xdlol
xdlol@gon_nmg·
@bet365_es Buenas, han cerrado mi cuenta por autoexclusión pero yo no lo he solicitado, por que puede ser? Hay alguna manera de solucionarlo?
Español
0
0
0
23
bet365 España
bet365 España@bet365_es·
Si piensa que está en riesgo de tener un problema con el juego o cree que ya tiene un problema con el juego, por favor, considere autoexcluirse. La autoexclusión le permite cerrar su cuenta durante un periodo de tiempo específico de seis meses, un año, dos años o cinco años.
Español
1
0
0
1K
xdlol
xdlol@gon_nmg·
Se habla poco de lo descarada que era ayer Eva @amaraloficial leyendo la letra cuando cantaba con @estoesLaMODA Yo estaba en pista pegado al escenario y no hacía más que mirar al suelo. Y ahora he visto una foto en instagram con 4 papeles delante. Y una setlist no son 4 papeles
xdlol tweet media
Español
0
0
0
32
xdlol
xdlol@gon_nmg·
@tiagofgonzalez Cuando habla de lisboa se refiere a la jmj
Oeiras, Portugal 🇵🇹 Español
0
0
0
7
Tiago Amado ✝️
Tiago Amado ✝️@tiagoramado·
“Uno de los lugares que no se pueden perder en Lisboa es Fátima” 😂😂😂😂😂 Señor cura, mire, está usted un poco equivocado. 😂😂😂😂
Español
4
1
4
1.1K
xdlol
xdlol@gon_nmg·
Árbitros de hockey??? Que???? Por que???? #DebateFinalRTVE
Madrid, Spain 🇪🇸 Español
1
0
1
32
Celia López
Celia López@celialopezp·
Pedro Sánchez, con gesto serio y contenido en el paseillo hasta las instalaciones de Prado del Rey. Las diferencias con Abascal son hasta estéticas: el presidente sí lleva traje y corbata; frente a la camisa abierta del candidato de Vox. #DebateFinalRTVE
Celia López tweet mediaCelia López tweet mediaCelia López tweet mediaCelia López tweet media
Español
1
1
4
542
xdlol
xdlol@gon_nmg·
3h y 15 mins que llevamos aquí ya. Y por cierto, otro más. @Salud_JCYL
xdlol tweet media
Ávila, Spain 🇪🇸 Español
0
0
0
21
xdlol
xdlol@gon_nmg·
Vamos a por el segundo de la mañana, esta vez en compañía @Salud_JCYL
xdlol tweet media
Ávila, Spain 🇪🇸 Español
0
0
0
13
xdlol
xdlol@gon_nmg·
2 hora y media que llevamos aquí y seguimos esperando. Pero los enfermeros aprovechando sanamente que están ociosos. Genial @Salud_JCYL
xdlol tweet media
Español
0
0
0
13
xdlol
xdlol@gon_nmg·
@sacyl así de bien va la sanidad en este país
xdlol tweet media
Ávila, Spain 🇪🇸 Español
0
0
0
1
Hugo
Hugo@hugoo_mv_·
He hecho un texto del atleti en el examen de ingles de evau. 🙃🤙Me la pela la nota ya
Español
5
0
13
6.4K
Irene garcia
Irene garcia@lajurruu·
estoy delirando que filtren ya el examen de evau de lengua y que dejen de vacilar
Español
2
6
70
12.8K
xdlol
xdlol@gon_nmg·
@eleutherismo Mi teoría es que ha sacado el dinero de algo muy chungo y está haciendo cómplice a mucha gente o intentando blanquearlo
Español
1
0
0
29