Marc Kaufmann retweetledi

The program for #FUNARCH2024 is up! We have a diverse lineup, ranging from experience report on applied functional software architecture to formal methods! functional-architecture.org/events/funarch…
English
Marc Kaufmann
28 posts

@grand_schemer
Behavioral Economist @CEU | Data skills rated R | Racketeer (@racketlang)
























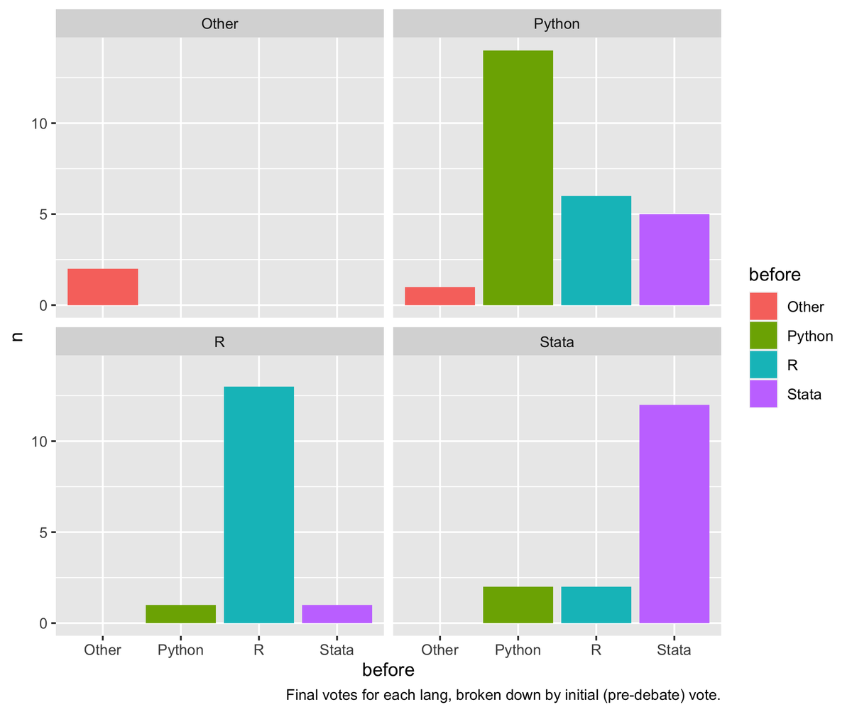
I see still a lot of #RStats tweets about the base pipe vs. the {magrittr} pipe, often in favor of the former. I have to admit: I still stick to the magrittr pipe and here is a Tweetorial on why. 🧵 %>%


Calling all educators & faculty members 📢 Our data analytic competition is an event where your students can utilize their analytical skills, while also reinforcing their soft skills. Join us and register NOW! theecongames.com/teg2023