Sabitlenmiş Tweet

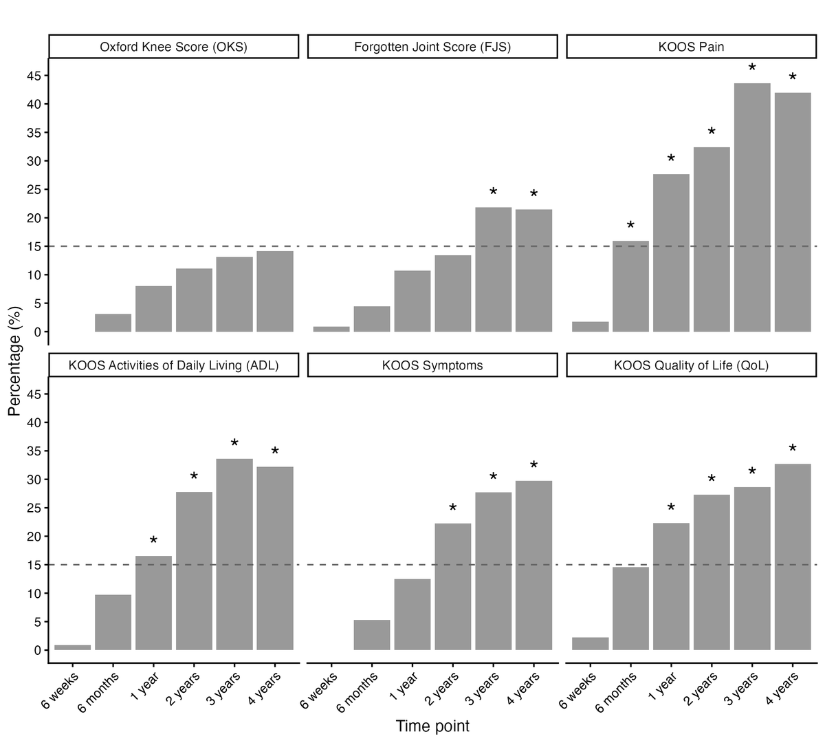
Most PROMs following TKA have substantial ceiling effects. Even the FJS!
How can we improve knee arthroplasty outcomes if patients are already hitting the ceiling using current measures?
In press @JArthroplasty
t.ly/oWy2l

English























