Marya Pulaski, MD
1.2K posts

Marya Pulaski, MD
@marlaski
gastroenterology fellow @The_BMC | @PennMedicine @UMassChan trained | digestive health, food justice, health equity, harm reduction | views my own
Boston, MA Katılım Ekim 2010
710 Takip Edilen390 Takipçiler

Fifty years later, “A Theology of Liberation” remains prophetic.
americamagazine.org/faith/2024/10/…
English
Marya Pulaski, MD retweetledi

Very grateful to my mom and @FutureChurchUSA for creating Catholic Women Preach-- an invaluable resource for the Church and the world. Please purchase your copy from @OrbisBooks here: orbisbooks.com/products/catho…. All proceeds benefit @CWP112716 ❤️

English

“The function, the very serious function of racism, is distraction. It keeps you from doing your work. It keeps you explaining, over and over again, your reason for being. … There will always be one more thing.” wapo.st/3MN6JeD
English

I highly recommend this book and pretty much anything Edwidge Danticat writes.
penguinrandomhousehighereducation.com/book/?isbn=978…
English

@DocMartins94 @ColumbiaGenMed @ColumbiaMedRes Congrats Nick! Not a surprise at all. Grateful for you!
English

I am so privileged to win the award for Excellence in Clinical Teaching!! Thank you to the compassionate, caring and wicked smart residents who truly made my first year as an attending so amazing. You will always have a special place in my heart
@ColumbiaGenMed @ColumbiaMedRes

English

Such a treat to have Dr. @RitaCharon speak at conference today about her #NarrativeMedicine work: “The great empty cup of attention is what we have to offer our patients.”

English
Marya Pulaski, MD retweetledi

Much of what we learned in school about how we taste is wrong. Progress in understanding how taste works is providing insights that may help in the management of obesity, diabetes, and other illnesses. Read the full review: nej.md/4brYn6f

English
Marya Pulaski, MD retweetledi

On May 9, @ChildrensHW is kicking off their 2024 Equity Series with the first episode, 'Food is Medicine.'
Experts will discuss food as a preventative health measure and explore approaches to improve population health and health equity.
Register here: bit.ly/4423CHn

English
Marya Pulaski, MD retweetledi

Haiti: "In the past 2 weeks hospitals have been set ablaze, doctors murdered and the most basic medical supplies have now dried up. Only a single public hospital in Haiti’s capital now remains operational – and that too is expected to shut its doors soon."
theguardian.com/global-develop…
English
Marya Pulaski, MD retweetledi

Opioid deaths involving polydrug use are now more prevalent than those involving only opioids. What often goes unnoticed is that deaths involving more than 1 substance are increasing faster among Black Americans. That was the impetus for our latest study link.springer.com/article/10.100…
English
Marya Pulaski, MD retweetledi

This editorial describes the science behind a study of a noninvasive blood-based assay of cell-free DNA to screen for colorectal cancer in an average-risk population. Read the full editorial: nej.md/43noybx

English
Marya Pulaski, MD retweetledi

Suicide isn’t ever simple
But suicide of a colleague is a moment to think.
When students & residents tell us there is something wrong with our training system, we need to pay attention
A recent NEJM podcast referred to these adults as children. A major error. More to come.
Bridget Marcinkowski@bridget__marc
TW: suicide There is an empty corner desk in a resident workroom at GW. Now forever engraved in my mind, that desk is a harrowing reminder of the cost of medical training. In his final words, Dr. William West said that he was simply out of gas, that he had nothing left to give.
English

Exciting advancements in second line therapy for PBC! nejm.org/doi/full/10.10…
English
Marya Pulaski, MD retweetledi
Marya Pulaski, MD retweetledi

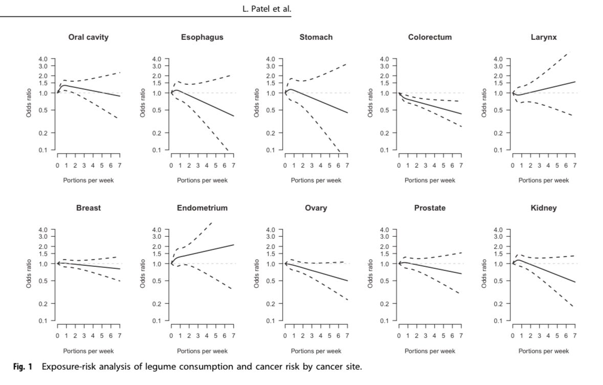
Inverse association between legume intake & colorectal cancer risk
Compared to no consumption:
- OR for at least 1 portion of legumes 0.79 (0.68-0.91)
-OR for 2 or > 0.68 (0.57-0.82) & estimate for an increment of 1 portion per week 0.87 (0.81-0.93)
nature.com/articles/s4143…

English
Marya Pulaski, MD retweetledi

@TEAMFOX @bostonmarathon @MichaelJFoxOrg @BHCHP He is now focusing on his own health and spending time with loved ones. Please donate here to support the incredible work of @MichaelJFoxOrg : givengain.com/project/tessa-… (2/2)
English





