Nabin Shrestha, MD, MPH
76 posts

Nabin Shrestha, MD, MPH
@nksmd
Infectious Disease Physician @ClevelandClinic Views are my own
Cleveland, OH, USA Katılım Mayıs 2010
70 Takip Edilen177 Takipçiler

Our updated study, with longer follow-up, on effectiveness of the #influenzavaccine still fails to find the vaccine to be effective in protecting against #influenza this year. medrxiv.org/content/10.110…

English

The #influenzavaccine varies in its effectiveness from season to season. This prospective study has been unable to find the vaccine to be effective thus far this respiratory season, in protecting against #influenza. doi.org/10.1101/2025.0…
English
Nabin Shrestha, MD, MPH retweetledi

Happy to share our study on Myroides infections! Grateful to Dr. Shrestha for his invaluable mentorship throughout this project.
@nksmd
Clinical Features and Outcomes of Myroides Species Infections academic.oup.com/ofid/article/d…
English

@SFabaraMD Don’t you worry. You are going to meet people who understand you and share your outlook completely.
English

Our study on the effectiveness of the latest #COVID #vaccine is now available online for those who may be interested. doi.org/10.1093/cid/ci…

English
Nabin Shrestha, MD, MPH retweetledi

The commercial imperative to extract money from human bodies is playing havoc. Nowhere is this more apparent than in the field of vaccines, and their place in determining the length of our lives.
~@bell00david
Vaccines and the Length of Our Lives
brownstone.org/articles/vacci…
English
Nabin Shrestha, MD, MPH retweetledi

We need to return to reality on pandrmics, rather than flawed models.
The world has changed. The pandemic industry seems stuck in the Middle Ages.
brownstone.org/articles/when-…
English
Nabin Shrestha, MD, MPH retweetledi

Excited for the official CCF Infectious Diseases Fellowship account ! Follow us for updates on ID education, research, and insights from our fellows.
#InfectiousDiseases #MedicalEducation #IDFellows
English

‘Hybrid immunity’ is a construct of Pharma to sell vaccines that:
1. Don’t stop infection, or
2. The company wants to inject into already-immune people.
But perhaps scientific journals should separate advertising from science.
Immunity is immunity.
cell.com/cell-reports-m…
English

@bell00david Fully agree. My position exactly. I have reviewed every paper that has been sent to me to “prove” the value of “hybrid immunity”, and each one of them is built on faulty premises and the findings misinterpreted to further the narrative that “hybrid immunity” is somehow better.
English

@DrDeepMD @ClevelandClinic It is wrong to vilify all vaccines. Vaccines have saved many many lives. However benefits of particular vaccines should not be overstated, and we should be willing to consider the possibility that potential harms from weakly effective vaccines may overshadow their benefits.
English

Really interesting study by @nksmd at @ClevelandClinic looking at healthcare workers w increasing admin of covid vax.
Honestly, I try to mostly stay away from this topic… but if you’re not at least willing to consider there may be a deep lack of data in this space, you’re NGMI
English

@thatsnotmine125 @DrAseemMalhotra This study was not about vaccine efficacy or safety. It was about the usefulness of classifying people into “up-to-date” or “not up-to-date” on COVID-19 vaccination.
English

@DrAseemMalhotra The study doesn’t call into question the safety of vaccines, it also doesn’t look at health outcomes beyond infection. @nksmd
English

BREAKING NEWS:
‘Studies show NOT getting your booster is safe and effective’
Nice one Jo 👊👊👊
Joseph Fraiman@JosephFraiman
Preprint study finds those up to date with booster more likely to be infected. It is a Pandemic of the boosted. Please help protect your community go out and don’t get boosted today. studies show not getting your booster is safe and effective. medrxiv.org/content/10.110…
English

@bell00david Thank you for understanding the point of our study and for bringing it to the attention of the public.
English

Defending vaccine boosters gets complicated when they are associated with higher rates of the infection they are supposed to target.
medrxiv.org/content/10.110…

English

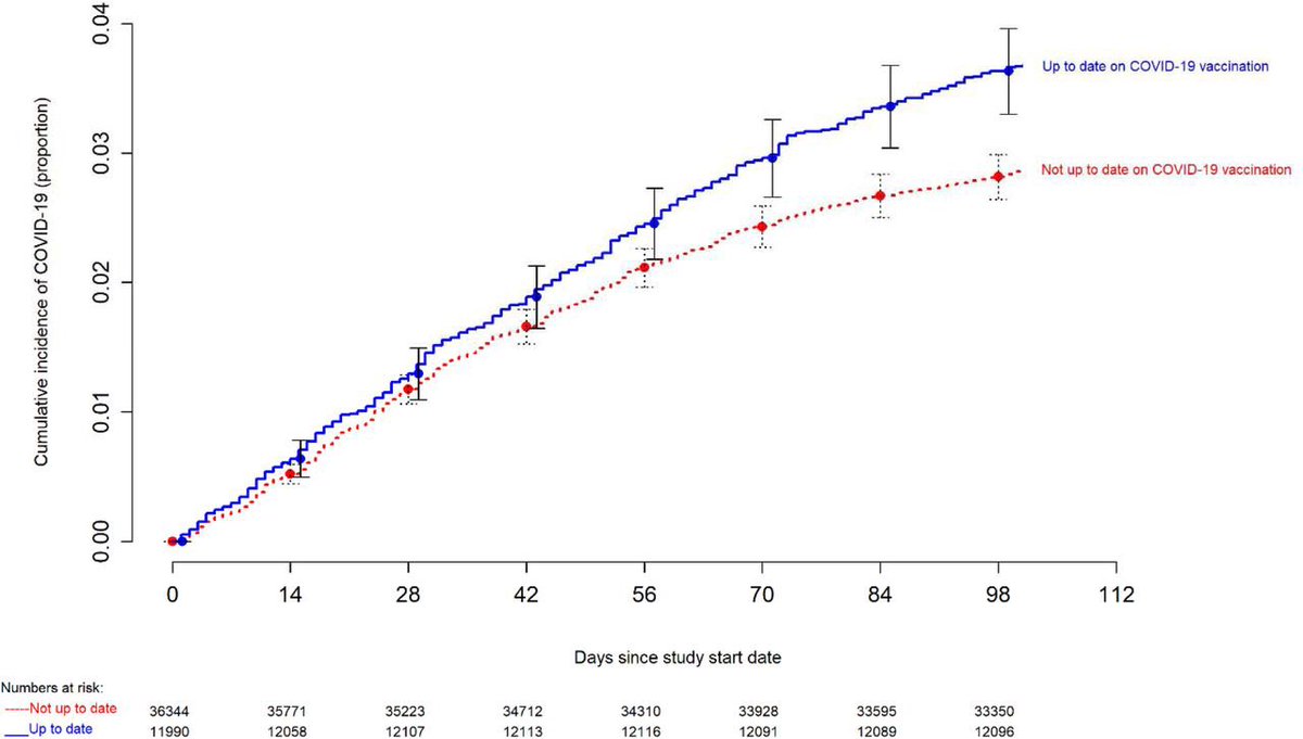
As defined by current CDC criteria, those who have not received a single dose of the bivalent vaccine are considered to not be up-to-date with COVID-19 vaccination. This study calls into question the validity of this classification. medrxiv.org/content/10.110…

English

@EaglesOfFortune The error bars in the figures are the 95% CI’s. Table 2 has the HR’s (not OR’s as this was a Cox proportional hazards regression)
English

@nksmd Someone asked where are the OR's and 95% CI's in regards to figure 1 and figure 2
English

Important questions about duration of immunity after COVID-19 infection/vaccination, and timing and number of vaccine doses needed for those previously infected, are examined in this study.
doi.org/10.1101/2022.0…
English

@martin_ssanchez @CDCgov It’s important to consider absolute benefit too, not just relative benefit. May be a benefit to vaccination in this age group but it does not seem as great as is generally portrayed and is at a level where risks have to be considered
English

@CDCgov The benefit is 1 less hospitalization per 100k, regardless of hospitalization length.
Seems to be way less than the risk of serious adverse event!
English

New data on CDC’s COVID Data Tracker show children ages 5–11 years who are unvaccinated are more likely than children who are vaccinated to be hospitalized with #COVID19. Everyone 5+ years should get vaccinated. See the latest data: bit.ly/3pnE2J8.

English





