selim odabaşı🇹🇷🇦🇿🇵🇸🇵🇰
24.7K posts


Watsons pansiyona yerleştirilen köpeğin tüm masraflarını üstlenmiş. Güzel haber,diğer mağazalarda bulunan köpekleri de bir pansiyona yerleştirip sosyal medyadan destek istemek yanlış bir hareket olmaz zira pansiyona yerleşen bir köpek aç kalmaz,hasta olursa veteriner hekim hizmeti sağlanır,aşıları eksik olmaz,kışın mağazalar kapanınca (tatiller ve geceleri) dondurucu soğukta kalmazlar,yazın mağazalar kapanınca dışarda barınacak yer aramazlar.Yıllarca mağazaları PR yapıyorlar diye eleştirdik, şimdi onların sorumluluk alma zamanı. Linçlemeden önce mantık süzgecinden geçirin yazdıklarımı. Ben bunun asıl şimdi bir iyilik hareketine dönüşeceğini düşünüyorum,sizce? (Pansiyonum yok)

@Murchis60732734 @KSerefhanoglu Bilmiyorum aklım almıyor ortalığa nefret saçmak için nasıl bu hâle gelir insan?

Çiftlik hayvanlarını korumaya yönelik yeni yasa uyarınca, köpekleri koyunları kovaladıkları takdirde köpek sahiplerine para cezası uylanacak veya hayvanlarına el konulabilecek.👏 Ya bizde? 😢 #koyunlarkazanacak









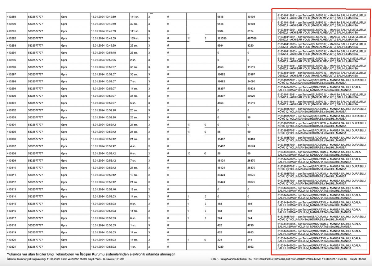
Videoyu kim hazırladı bilmiyorum. Ama lütfen 2 dakikanızı ayırıp izleyin. Nasıl bir çete ile karşı karşıya olduğumuzu görün…

Tekirdağ Çorlu’da ağızlıksız dolaştırılan yasaklı ırk pitbul, bir başıboş köpeğe saldırdı! Sesimizi duyan var mı?

Gazeteci Emre Erciş, CHP Genel Başkanı Özgür Özel’in İstanbul Beşiktaş’ta aldığı bir ev için çeşitli iddialarda bulundu. Erciş, “Beşiktaş Belediyesi o ev için yıkım kararı aldı. Evi bu sırada Özgür Özel ucuza aldı. Özel evi aldıktan sonra yıkım kararı kaldırıldı. Ev birden 10 kat değer kazandı” dedi. Erciş, evin adresini de yayınladı. Şimdi Özgür Özel’in vereceği cevap bekleniyor.

@YNWALiverqool They are Israel of the football!.. In Turkey the refrees doesn't let any team to win the game towards Galatasaray Their managers,players all criminal people










