おおかみ
71K posts

おおかみ
@wolf64m
自称技術屋、ニコニコ技術部常駐、あの楽器開発部、秋葉界隈に出没、バイクとアーチェリーも趣味
千葉県柏市 Katılım Nisan 2009
427 Takip Edilen633 Takipçiler

創作者はbilibiliで活動している二叶筑紫警官型さん:space.bilibili.com/13738983
下は確認用の全体図と部分図、原本の容量がかなり大きいので詳しく確認したい方は原作者が公開したリンクでダウンロードして下さい:pan.baidu.com/s/11ypYA7uy8_6…



日本語

@ysnb12_09 背景に生成AIが使われており、海外で大炎上しておりますが…本当に大丈夫なんですか?
世界中でWIT Studioが「AI Slop」を使う胡乱なアニメ会社だと思われてしまい、信用を失いつつありますが…
ukloim@ukloim
AI generated backgrounds in the opening of the new Ascendance of a Bookworm season. Very unfortunate.
日本語

OPは中澤一登さんが絵コンテと原画、
演出を藤井咲さんが担当。
今回はOPディレクターとして、お二人に立ってもらいOPを制作して行きました。
ラストカットの集合絵は作監の簑輪さん、それ以外のカットは中澤さんが一人で原画しています。
#本好きの下剋上
TVアニメ「本好きの下剋上」公式@anime_booklove
✧⋄ノンクレジット オープニング公開⋄✧ 『#本好きの下剋上 領主の養女』 オープニングのノンクレジット映像を公開✨ 🎧Little Glee Monster 「Pages」 #リトグリ_Pages #リトグリ 毎週土曜夕方5時30分〜 読売テレビ・日本テレビ系 全国ネットにて放送中🌸 @LittleGleeMonst
日本語

@ysnb12_09 生成AIでキレ散らかしてる人は
根拠が自分の目と言ってるし
他の人の根拠自体も他のAIに聞いた結果%が高いって
だけ
根拠にならん
デジタルで書いていて複数のレイヤ重ねれば、一枚絵と違ってドットが合わんの当たり前じゃね
日本語

AI generated backgrounds in the opening of the new Ascendance of a Bookworm season. Very unfortunate.



TVアニメ「本好きの下剋上」公式@anime_booklove
✧⋄ノンクレジット オープニング公開⋄✧ 『#本好きの下剋上 領主の養女』 オープニングのノンクレジット映像を公開✨ 🎧Little Glee Monster 「Pages」 #リトグリ_Pages #リトグリ 毎週土曜夕方5時30分〜 読売テレビ・日本テレビ系 全国ネットにて放送中🌸 @LittleGleeMonst
English

日本じゃやってるとこ少ないだろうけど
これくらいやらんと葛粉デンプンは
商売にならんのだろうかねえ
純粋な葛粉の製造工程 - 収穫から全工程 youtu.be/7dEo87LYofk?si… @YouTubeより

YouTube
日本語

@wolf64m えっもしかしてオティーリエの可能性あり🤔
コミカライズで見てるはずなんですけど自分は判断つきませんでした😅
日本語

@torat2011 洗礼式を行わないと子供は人として扱わないのを取って、カルステッドの娘として洗礼してから領主の養女にランクアップです、
最初から領主の子として洗礼式を行うと出自を疑われるからと言うのと、カルステッドにローゼマリーと言う第3婦人(故人)がいたから出来た
戸籍ロンダリングです
日本語

@ayumochineko 60年前の核実験頃の影響を考慮して無いですよね、
あの当時で福島の10倍の降下物が有って影響は残ってます特に西日本の場合は、それと火山からの影響も有りますよ
日本語

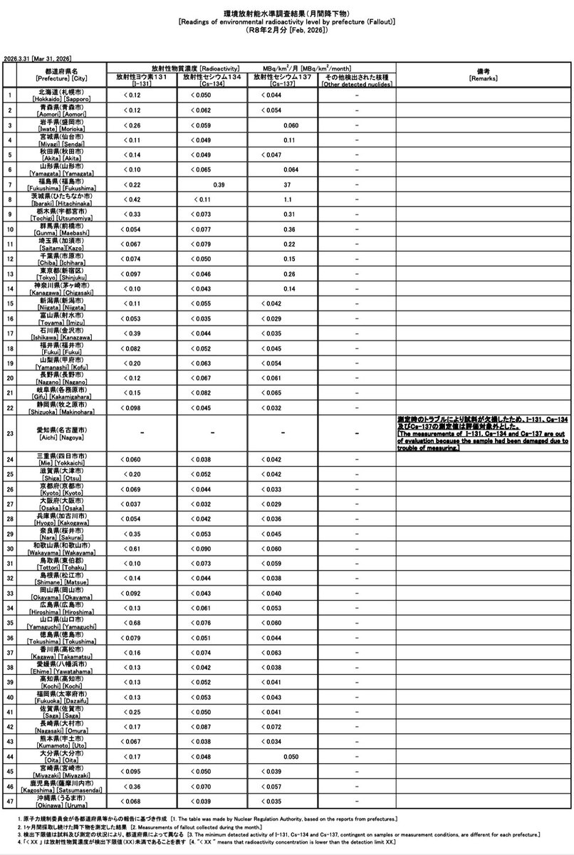
R8年2月の月間降下物(ベクレル/㎢)
福島 37,390,000
茨城 1,100,000
群馬 360,000
宮城 730,000
埼玉 220,000
栃木 310,000
千葉 150,000
神奈川140,000
東京 260,000
岩手 60,000
大分 50,000
また大分から検出。
福島は大分の747.8倍のセシウム量。
関東東北に遺り続ける震災の傷痕。

冷凍都市@ayumochineko
⚠️福島は去年1月の18倍!!!⚠️ いよいよ15年間降り続ける核。 R8年1月の月間降下物 (ベクレル/㎢) 福島 42,000,000 茨城 1,600,000 群馬 990,000 宮城 730,000 埼玉 420,000 栃木 380,000 千葉 280,000 神奈川250,000 東京 110,000 日本人の大多数が忘れようとする原発事故の現実がこれ。
日本語

@ko_gu__ma とりあえずで良ければ
なろうの奴を
大筋はそのまま最後まで読めます
書籍とは閑話とかSSが無いだけと思って構いません
書籍33巻分です
「本好きの下剋上 ~司書になるためには手段を選んでいられません~」 ncode.syosetu.com/n4830bu/ #narou #narouN4830BU
日本語

@mattariver3 ズラーッとっってとこには、まあ何だ
付いてるコメント見て、世も末みたいなのが見受けられるが、40年前学生だった時に西武新宿駅から出入りしてた自分には場所が移動しただけで、たいして変わってない気がする、
あそこら辺道端に人糞落ちてたりするしよお、
学生に声かけるなよ
日本語
















