PolBol (Polish Barcode of Life)

123 posts

PolBol (Polish Barcode of Life) banner
PolBol (Polish Barcode of Life)

PolBol (Polish Barcode of Life)

@POLBOLnode

Polish Barcode of Life - building Poland's #iBOL national node and #DNAbarcoding initiative with @BioscanEurope, @iBOLConsortium, @BioGenEurope.

Poland เข้าร่วม Haziran 2023
187 กำลังติดตาม103 ผู้ติดตาม
PolBol (Polish Barcode of Life) รีทวีตแล้ว
Rafał Zwolak 📊
Rafał Zwolak 📊@RafaZwolak·
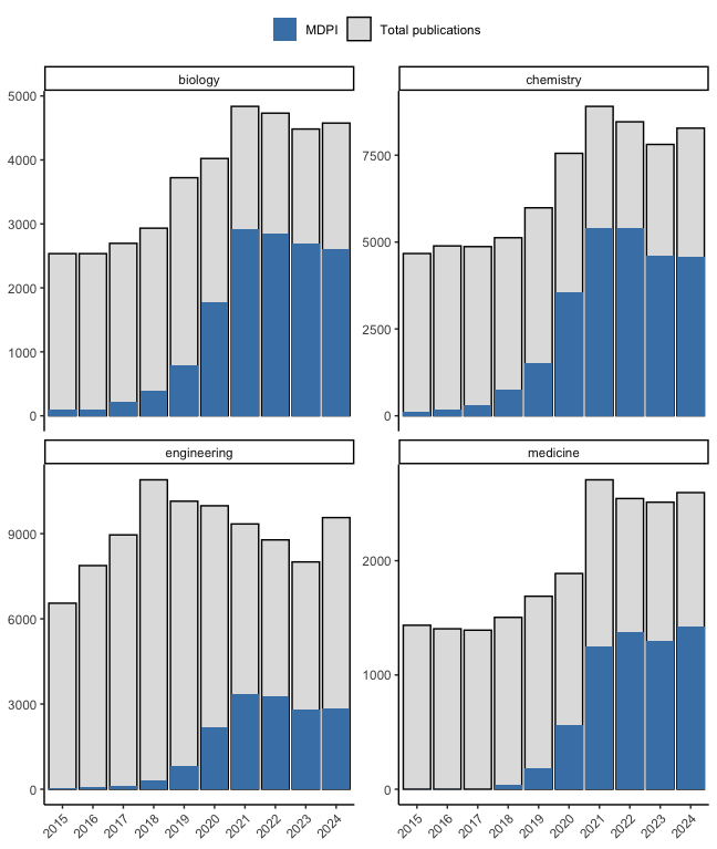
Jeszcze trochę danych o najważniejszym wydawcy artykułów polskich naukowców - MDPI. Ten sukces to kwestia ostatnich kilku lat, ale po okresie gwałtownego wzrostu widać też stabilizację - na dominującej pozycji. Wykres oczywiście dla artykułów z Polski.
Rafał Zwolak 📊 tweet media
Polski
2
5
12
1.9K
PolBol (Polish Barcode of Life) รีทวีตแล้ว
Michał Żmihorski
Michał Żmihorski@MZmihorski·
Trochę o nauce w dość gorzkim tonie - nie tylko nędznym finansowaniu, lecz również o konieczności naszego krytycznego spojrzenia na samych siebie. Dzięki @estera_flieger za rozmowę! edukacja.rp.pl/uczelnie-wyzsz…
Polski
1
7
36
2.1K
PolBol (Polish Barcode of Life) รีทวีตแล้ว
Jakub Wiech
Jakub Wiech@jakubwiech·
Narodowe Centrum Nauki dostaje w tym roku 4x mniej pieniędzy niż górnictwo węgla kamiennego. Centrala Obrączkowania Ptaków miała problem, bo rząd nie mógł znaleźć 600 tys. zł (tyle górnictwo dostaje w 40 minut). Statek Oceania kosztuje 10 mln zł/rok. Górnictwo - 19 mln/dzień.
Michał Żmihorski@MZmihorski

Gdyby ktoś szukał pieniędzy, na przykład na naukę, to tu są ładne liczby przytaczane

Polski
110
159
982
50.5K
PolBol (Polish Barcode of Life) รีทวีตแล้ว
Michal Grabowski
Michal Grabowski@qqq_gammarus·
🥳 heden z tych 17 trafił do mojego zespołu w @unilodz. Jestesmy gotowi na współpracę z Nature Research Center, Vilnius!
Narodowe Centrum Nauki@NCN_PL

🇵🇱🇱🇹17 polsko-litewskich projektów badawczych zostało zakwalifikowanych do finansowania w 3. edycji konkursu #DAINA. ➡️W gronie laureatów w grupie nauk HS jest m.in. projekt „Muzyka polska i litewska w perspektywie globalnej: migracja, tożsamości diasporyczne i ojczyzna” kierowany przez dr hab. Beatę Bolesławską-Lewandowską z Instytutu Sztuki @PAN_akademia. We współpracy z zespołem z Litewskiej Akademii Muzyki i Teatru w Wilnie polski zespół zrealizuje badania na temat procesów migracyjnych, jakie miały miejsce w polskiej i litewskiej kulturze muzycznej w XX wieku. ➡️W grupie nauk o życiu finansowanie otrzymał m.in. dr inż. Krzysztof Noworyta z Instytutu Chemii Fizycznej #PAN, którego zespół zrealizuje projekt pt. „Metody analityczne do oznaczania wybranych zanieczyszczeń w produktach mlecznych wykorzystujące wieloczujnikowe platformy elektrochemiczne z warstwami rozpoznającymi w postaci polimerów wdrukowanych molekularnie”. Badania będą realizowane we współpracy z naukowcami z litewskiego  State Research Institute – Center for Physical Sciences and Technology FTMC w Wilnie. Badacze będą pracować nad rozwojem  szybkich, tanich i rzetelnych metod do szybkich analiz żywności, umożliwiających wykrycie w niej typowych zanieczyszczeń pochodzących z procesu produkcji, np. hormonów wzrostu, antybiotyków czy leków. ➡️W grupie nauk ST grant otrzymał także prof. dr hab. Łukasz Wyrzykowski z @UniWarszawski , który pokieruje krajowym zespołem w projekcie „Polsko-litewskie polowanie na czarne dziury – czas zbiorów”. Wspólnie z naukowcami z Uniwersytetu w Wilnie badacze z UW będą prowadzić obserwacje obiektów zidentyfikowanych jako potencjalne czarne dziury przez misję kosmiczną Gaia, w ramach której niebo jest skanowane z ogromną precyzją od 2014 roku. Polscy i litewscy badacze będą pracować także na danych pozyskanych w poprzednim projekcie DAINA oraz na nowych danych pozyskanych na za pomocą globalnej sieci teleskopów.

Polski
0
4
12
886
PolBol (Polish Barcode of Life) รีทวีตแล้ว
Narodowe Centrum Nauki
Narodowe Centrum Nauki@NCN_PL·
🇵🇱🇱🇹17 polsko-litewskich projektów badawczych zostało zakwalifikowanych do finansowania w 3. edycji konkursu #DAINA. ➡️W gronie laureatów w grupie nauk HS jest m.in. projekt „Muzyka polska i litewska w perspektywie globalnej: migracja, tożsamości diasporyczne i ojczyzna” kierowany przez dr hab. Beatę Bolesławską-Lewandowską z Instytutu Sztuki @PAN_akademia. We współpracy z zespołem z Litewskiej Akademii Muzyki i Teatru w Wilnie polski zespół zrealizuje badania na temat procesów migracyjnych, jakie miały miejsce w polskiej i litewskiej kulturze muzycznej w XX wieku. ➡️W grupie nauk o życiu finansowanie otrzymał m.in. dr inż. Krzysztof Noworyta z Instytutu Chemii Fizycznej #PAN, którego zespół zrealizuje projekt pt. „Metody analityczne do oznaczania wybranych zanieczyszczeń w produktach mlecznych wykorzystujące wieloczujnikowe platformy elektrochemiczne z warstwami rozpoznającymi w postaci polimerów wdrukowanych molekularnie”. Badania będą realizowane we współpracy z naukowcami z litewskiego  State Research Institute – Center for Physical Sciences and Technology FTMC w Wilnie. Badacze będą pracować nad rozwojem  szybkich, tanich i rzetelnych metod do szybkich analiz żywności, umożliwiających wykrycie w niej typowych zanieczyszczeń pochodzących z procesu produkcji, np. hormonów wzrostu, antybiotyków czy leków. ➡️W grupie nauk ST grant otrzymał także prof. dr hab. Łukasz Wyrzykowski z @UniWarszawski , który pokieruje krajowym zespołem w projekcie „Polsko-litewskie polowanie na czarne dziury – czas zbiorów”. Wspólnie z naukowcami z Uniwersytetu w Wilnie badacze z UW będą prowadzić obserwacje obiektów zidentyfikowanych jako potencjalne czarne dziury przez misję kosmiczną Gaia, w ramach której niebo jest skanowane z ogromną precyzją od 2014 roku. Polscy i litewscy badacze będą pracować także na danych pozyskanych w poprzednim projekcie DAINA oraz na nowych danych pozyskanych na za pomocą globalnej sieci teleskopów.
Narodowe Centrum Nauki tweet media
Polski
1
1
9
1.8K
PolBol (Polish Barcode of Life) รีทวีตแล้ว
PolBol (Polish Barcode of Life) รีทวีตแล้ว
Biodiversity Genomics Europe (BGE)
Those happy faces tell the story of the great BGE hackathon that took place in Leiden last week! Data generation, processing, integration, curation #BOLD... we went the whole nine yards! Thanks to all participants, specially those who came all the way from @uofg! @REA_research
Biodiversity Genomics Europe (BGE) tweet media
English
0
13
23
2K
PolBol (Polish Barcode of Life) รีทวีตแล้ว
International Barcode of Life Consortium (iBOL)
Big day on @uofg campus: Dr. Paul Hebert's work for the last 20 years is celebrated in an audience of university officials, politicians, family, friends, @CBG_UofG past & present staff & collaborators. Well-deserved, Paul. 👏👏👏
University of Guelph@uofg

Today, the #UofG community honoured the groundbreaking achievement of evolutionary biologist, Dr. Paul Hebert, for the pioneering work he and the team at the Centre of Biodiversity Genomics have accomplished in DNA barcoding to catalogue life on Earth.

English
0
7
26
1.2K
PolBol (Polish Barcode of Life) รีทวีตแล้ว
iBOLEurope
iBOLEurope@iBOLEurope·
📢Don't miss the newest #blog on our website: fantastic work from our @POLBOLnode colleagues about #DNAbarcoding of invertebrates inhabiting subterranean environments – the case of Western Carpathian epikarst🪱🕷️🪲 iboleurope.org/dna-barcoding-…
English
0
4
14
444
PolBol (Polish Barcode of Life) รีทวีตแล้ว
Rudolf Meier @rudolf-meier.bsky.soci
Express DNA barcoding published! We combine DNA leaching, NextGenPCR, and MinION to go from specimens to barcodes in hours without breaking the bank. Say hello to fast pest identification, food authentication and species sorting in the field. doi.org/10.1111/1755-0… @nanopore
English
2
82
278
24.6K
PolBol (Polish Barcode of Life) รีทวีตแล้ว
Centre for Biodiversity Genomics (CBG)
Take a peek🧐 inside the incredible new Paul Hebert Centre For DNA Barcoding & Biodiversity Studies in #India! It's thrilling to see CBG's @uofg made-in-Canada innovation reflected at sites across the globe. Tx Avas Pakrashi📸 #biodiversity #science
Centre for Biodiversity Genomics (CBG) tweet mediaCentre for Biodiversity Genomics (CBG) tweet mediaCentre for Biodiversity Genomics (CBG) tweet mediaCentre for Biodiversity Genomics (CBG) tweet media
English
0
8
23
1.6K