ABENDE SYLVESTER

85 posts

ABENDE SYLVESTER banner
ABENDE SYLVESTER

ABENDE SYLVESTER

@abendest

Expert in I.T Solutions *I.D Cards *Printing *Graphic Designs *Branding *Flex/SAV *Jotters/Calendars *Logos https://t.co/xxnXarOcO8

Federal Capital Territory, Nig เข้าร่วม Haziran 2020
204 กำลังติดตาม28 ผู้ติดตาม
ABENDE SYLVESTER
ABENDE SYLVESTER@abendest·
@Project_100hund I really admire what Project 100 does for humanity... Looking forward to this great event coming up soon
English
1
0
1
9
Project100
Project100@Project_100hund·
Something big is coming to Abuja. For young pple, innovators, and change makers ready to learn, connect, and grow. Conversations that matter. Opportunities that transform lives. Networks that shape the future. August 2026. Stay close. #Project100Conference #élections #IWD2026
Project100 tweet media
English
6
1
6
49
Santegidio Nigeria
Santegidio Nigeria@SantegidioNIG·
Today, Prof. Andrea Riccardi continued his visit Accompanied by the Italian Ambassador, Prof. Jan De Volder, Archbishop Ignatius Kaigama, and the CAN National Chairman, he paid a visit to the Secretary to the Government of the Federation (SGF) Senator George Akume
Santegidio Nigeria tweet mediaSantegidio Nigeria tweet mediaSantegidio Nigeria tweet mediaSantegidio Nigeria tweet media
English
1
10
18
193
ABENDE SYLVESTER รีทวีตแล้ว
Santegidio Nigeria
Santegidio Nigeria@SantegidioNIG·
14th Feb, 2026, our Founder, Prof. Andrea Riccardi together with the Archbishop of Abuja, Most Rev. I. A. Kaigama, officially blessed and opened the new House in Lugbe, Abuja. Present at this historic moment were His Grace Archbishop Michael Crotty - Papal Nuncio to Nigeria,…
Santegidio Nigeria tweet mediaSantegidio Nigeria tweet mediaSantegidio Nigeria tweet mediaSantegidio Nigeria tweet media
English
5
14
23
419
ABENDE SYLVESTER รีทวีตแล้ว
JCI Nigeria
JCI Nigeria@jci_nigeria·
We are excited to share the stories of "Abende Sylvester"—one of the top 5 winners of the #MyJCIStory2024 Phase One(1) Competition. He has shared his journey with JCI, and now it’s your turn to engage and be inspired. #SEE #InspireTheFuture #JCINigeria #MyJCIStoryFinalPhase
JCI Nigeria@jci_nigeria

My JCI Story is a storytelling initiative that showcases the transformative experiences, passions, and achievements of Junior Chamber International (JCI) Members.

English
5
2
24
310
Santegidio Nigeria
Santegidio Nigeria@SantegidioNIG·
On a sad note we lost our friend and advocate against the death penalty. His name is Arthur Judah Angel . May God rest his soul.
Santegidio Nigeria tweet mediaSantegidio Nigeria tweet mediaSantegidio Nigeria tweet mediaSantegidio Nigeria tweet media
English
6
12
14
391
ABENDE SYLVESTER
ABENDE SYLVESTER@abendest·
@SanwoluPrist This is quite saddening. May God rest their souls in perfect peace. Amen. May these killers repent of their evil doings. Amen.
English
0
0
0
10
NITDA Nigeria
NITDA Nigeria@NITDANigeria·
APPLY NOW!!! Application is still open for NITDA-Cisco Cybersecurity Awareness training on Ethical Hacker, Endpoint Security, Network Defence, and Cyber Threat Management. Registration closes:15th Oct, 2023 Training starts : 18th Oct 2023 Please click on the link to register: tinyurl.com/NITDACiscoCybe… Hurry up and apply. Don’t miss out! #CyberSecurityAwarenessMonth #BeCyberSmart #StaySecure
NITDA Nigeria tweet media
NITDA Nigeria@NITDANigeria

In alignment with the National target of 70% Digital Literacy by 2027 contained in the Strategic Plan document released by the @FMoCDENigeria, the National Information Technology Development Agency (NITDA) is collaborating with Cisco to celebrate Cybersecurity Awareness Month and train Nigerians on the importance of protecting personal data from all forms of cybercrimes. This year's programme will focus on four critical domains of cybersecurity, thus; Ethical Hacker, Endpoint Security, Network Defence, and Cyber Threat Management. Registration Date: 2nd to 9th Oct, 2023 Training Date: 18th Oct 2023 Please click on the link to register: tinyurl.com/NITDACiscoCybe… #CyberSecurityAwarenessMonth #BeCyberSmart #StaySecure

English
141
1.1K
1.6K
444.7K
Aspilos Foundation
Aspilos Foundation@aspilosfdn·
Congratulations to Our Founder! @simiolusola We are overjoyed to announce that our visionary founder has been recognised as one of the 100 influential powers behind the state by @statecraftinc for her outstanding contributions as an active citizen.
Aspilos Foundation tweet mediaAspilos Foundation tweet media
English
5
7
15
833
Moyosoluwa Okereji Oladayo
Moyosoluwa Okereji Oladayo@moyo_oladayo·
@bukolasaraki Late Greatness was an active member of YALI Network Abuja of which I am the coordinator. We appreciate you sir for lending your voice to this incident. Our demands to the government are: Give us a functional transport system, proactive health sector and improved security system.
English
34
30
87
5.2K
Dr. Abubakar Bukola Saraki
Dr. Abubakar Bukola Saraki@bukolasaraki·
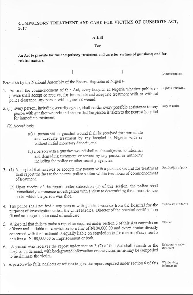
I am devastated to learn about the unfortunate death of Greatness Olorunfemi, who was pushed out of a moving car by hoodlums after being robbed of her valuables and rescued by kindhearted strangers, but was refused medical attention at the Maitama General Hospital in Abuja. This heartbreaking case is a reminder of the importance of the law that we designed, passed, and got presidential assent during the tenure of the 8th National Assembly. This piece of legislation was introduced to protect Nigerians who have been victims of violence. However, more needs to be done to ensure that the law is strictly enforced. To the Nigerian government, I say this: This is your moment to stand tall, to send an unequivocal message that such injustices will not be tolerated. The Federal Ministry of Health and its Hospital Management Board should thoroughly investigate this case and ensure that justice is swift for the perpetrators. I also strongly urge the Ministry of Health to sanction the leadership of the Maitama General Hospital for violating the law. Their refusal to admit a person in need of medical attention goes against the very essence and ethics of their profession. To all hospitals: Remember your Hippocratic Oath. Your primary duty is to save lives. Do not turn away those in need. Uphold the sanctity of your profession and adhere to the law. Also, I enjoin all to help in creating awareness about the law and its provisions. Let all Nigerians know about the existence of the law so that we can further ensure adherence to it. To the family and friends of Greatness Olorunfemi, I offer my deepest and most heartfelt condolences. Your loss is immeasurable, and my thoughts and prayers are with you during this difficult time.
Dr. Abubakar Bukola Saraki tweet mediaDr. Abubakar Bukola Saraki tweet mediaDr. Abubakar Bukola Saraki tweet mediaDr. Abubakar Bukola Saraki tweet media
Punch Newspapers@MobilePunch

'One-Chance' Victim Dies After Abuja Hospital Allegedly Rejected Her A young lady, Greatness Olorunfemi, a victim of 'one-chance' operators in Abuja, has died after an Abuja hospital allegedly refused to attend to her. An X user, #Gbemilekhe, who shared the story on Friday, alleged that the hospital in the Maitama area of Abuja asked for a police report before treatment could commence. Olorunfemi sadly passed moments later. "Greatness was pushed out of a moving vehicle by one-chance criminals in Abuja. "She was rushed to Maitama General Hospital, and they refused to attend to her, demanding a police report. She died afterwards," the tweet read. One #Nwaadaz on X, who claimed to be a friend of Olorufemi, shared more details of the sad incident, saying the assailants stabbed Olorunfemi, who bled to death after the hospital rejected her. "Maitama General Hospital refused to attend to my friend who was stabbed by a one-chance driver in Abuja. They allowed her to bleed to death and locked the emergency ward against her because she didn't have a police report!! Nigeria has failed Greatness!," the user tweeted. Credit: X | Nwaadaz, Gbemilekhe

English
358
1.3K
2K
539.6K
Mr. Tribe🏝️
Mr. Tribe🏝️@sheymanishere·
man understood the assignment😂💍
Mr. Tribe🏝️ tweet mediaMr. Tribe🏝️ tweet mediaMr. Tribe🏝️ tweet media
English
175
2.8K
17.3K
1.2M