Igor Laskowski

250 posts

Igor Laskowski banner
Igor Laskowski

Igor Laskowski

@igolask

🇵🇱 I help understand and research severe weather | @essl_ecss QC Team & @SkywarnPoland Team | ❤ | Running 🏃‍♂️ | Hiking 🎒 | Photography 📸 |

شامل ہوئے Şubat 2014
503 فالونگ274 فالوورز
Sekai Chandra
Sekai Chandra@Sekai_WX·
I found an undocumented tornado scar in Bosnia and Herzegovina. Date: 2020/08/04 at 14:00-14:30 UTC Coords: 44.028894653471916, 16.790834703262792 Probably a high-EF2 to low-EF3, especially near the end of its life.
Sekai Chandra tweet mediaSekai Chandra tweet mediaSekai Chandra tweet media
English
4
7
143
7K
Igor Laskowski
Igor Laskowski@igolask·
@mvvictori ¿Conoces quizá el lugar exacto y la hora en que ocurrió el fenómeno? ¡Gracias!
Español
1
0
0
17
Igor Laskowski
Igor Laskowski@igolask·
‼️🌪️Tornado in #Ermont and nearby areas such as #SaintPrix likely reached at least IF2 intensity, based on roof structure damage to residential buildings and overturned cars. 📸 Photo credit: Groupe d’Ermont, Arnaud Brunet, Actualités du Val-d’Oise / Facebook
Igor Laskowski tweet mediaIgor Laskowski tweet mediaIgor Laskowski tweet media
English
2
22
126
10.7K
Igor Laskowski
Igor Laskowski@igolask·
@WeatherSarov1 I know that I’m late, but do you know the exact source of the photo? It looks like the hailstone could be at least 10 cm across.
English
1
0
1
48
Kirill Bakanov
Kirill Bakanov@WeatherSarov1·
Large hail in Novooskolsky District, Belgorod oblast, Russia, July 19.
Kirill Bakanov tweet mediaKirill Bakanov tweet media
1
4
26
2.3K
Igor Laskowski ری ٹویٹ کیا
Tomas Pucik
Tomas Pucik@Djpuco·
Using the coin as a reference object, the largest hailstone in the photo is 11 cm across. This makes it the first giant hail report (>= 10 cm) in Latvia, at least based on what is available in the ESWD. Photograph by Sigita Zaļā in Palsmane.
Tomas Pucik tweet media
English
5
40
181
36.2K
Igor Laskowski ری ٹویٹ کیا
ESSL
ESSL@essl_ecss·
Time to reminisce about 2024! There were 1035 tornadoes in that year, out of which 655 were waterspouts. Tornadoes killed 1 and injured 19 people and the strongest torndo reached an IF3 rating.
ESSL tweet media
English
0
26
82
8K
Igor Laskowski ری ٹویٹ کیا
Lucas Adler
Lucas Adler@stormchaserIL·
Waterspout becomes a tornado in Tel Aviv! Direct impact on a few people, no one hurt fortunately, mostly people in total awe 😍😍
English
1
7
37
21.9K
أسامه الحربي
أسامه الحربي@osamafilm·
مشهد نادر حدوثه في السعودية . اعصار قمعي 🌪️ شمال #رابغ الان
العربية
6
42
134
31.9K
⛈طقس الحجاز⛈
⛈طقس الحجاز⛈@alhijaz21·
اعصار قمعي داخل بحر الحريضه سواحل #عسير الآن🌪️👌 تصوير ابو وتين
العربية
4
8
18
6.5K
Igor Laskowski ری ٹویٹ کیا
ESSL
ESSL@essl_ecss·
We have exceeded 10 000 large hail reports mark for this year! We are currently standing at 10 084 reports and our ESWD staff is still submitting reports for still incomplete summer cases. So stay tuned for more, including our annual hail summary blog coming up in January.
ESSL tweet media
English
1
23
69
10.4K
Igor Laskowski ری ٹویٹ کیا
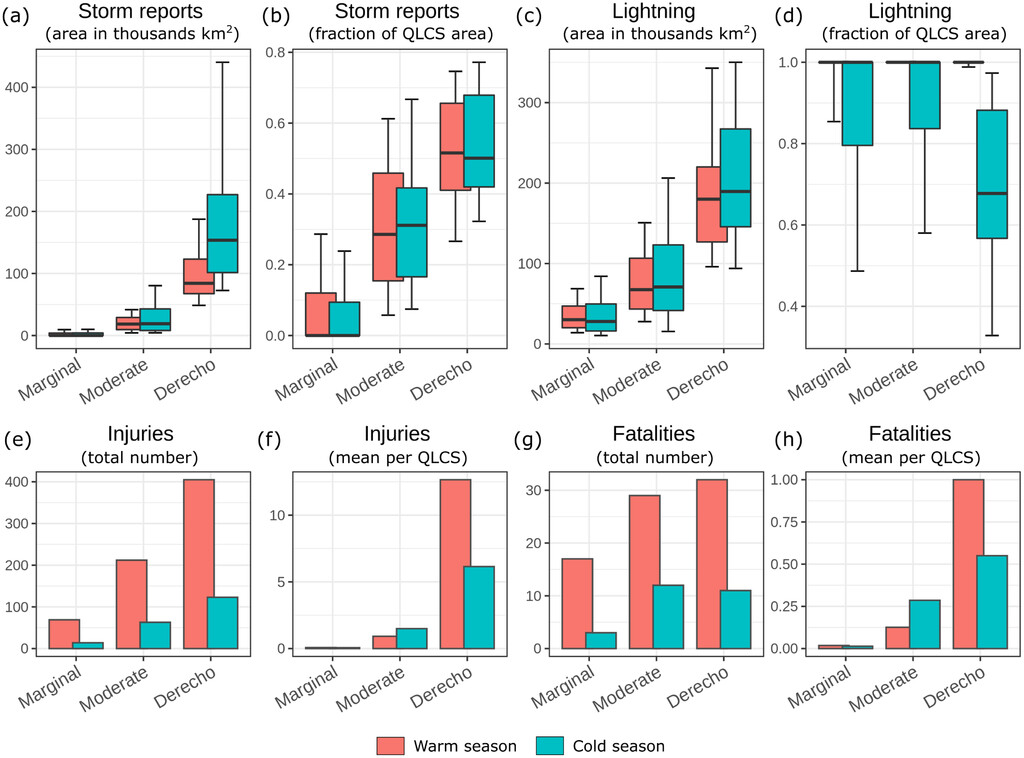
Artur Surowiecki
Artur Surowiecki@ArturStormPL·
On average each year in Europe, QLCSs are responsible for 13 deaths, 110 injuries and considerable socioeconomic impacts. More details on the climatology of QLCS in Europe you can find in our most recent article published in BAMS. doi.org/10.1175/BAMS-D… #storms #severewx #burze
Artur Surowiecki tweet mediaArtur Surowiecki tweet media
English
1
11
55
3.9K
Igor Laskowski ری ٹویٹ کیا
Tomas Pucik
Tomas Pucik@Djpuco·
So obviously there was giant hail in eastern Spain yesterday. Not from the most powerful-looking storm or from the highest CAPE environment. That said, models underestimated both T and Td over the region at that time.
Tomas Pucik tweet mediaTomas Pucik tweet mediaTomas Pucik tweet media
English
4
17
78
7K