Sabitlenmiş Tweet
Spellzz
1.6K posts

Spellzz
@0xSpellzz
I write for Defi protocols that wants to scale and communicate clearly — (basically, simplifying complexity for clarity)
Katılım Eylül 2024
464 Takip Edilen122 Takipçiler

@financialmessia Planned on learning this consensus mechanisms today and first, I found this!
English

I used to think consensus mechanisms were just technical infrastructure, I was wrong.
A consensus mechanism is not just how blocks are added, it is how trust is manufactured at scale.
Let’s take Ethereum as a case study.
When Ethereum launched, it used Proof of Work.
Miners competed using computing power to solve cryptographic puzzles.
The winner added the next block and earned rewards, security came from physical cost.
To attack the network, you would need enormous computing resources and electricity and that made attacks expensive, but it also made participation expensive.
Then came the Merge, ethereum transitioned to Proof of Stake.
Instead of buying machines, participants locked up ETH, validators are randomly chosen to propose blocks, and others attest to their validity.
If they act dishonestly, their stake can be slashed.
The core shift was philosophical, from "spend energy to prove honesty" to "risk capital to prove honesty".
And that changes everything:
> It reduces environmental impact.
> It lowers hardware barriers.
> It turns consensus into a financial game theory model.
From a content marketing lens, the product did not just improve, the story also improved.
Ethereum went from "energy-hungry giant" to "capital-efficient settlement layer".
That's positioning,not just engineering.
So, I have a quick question:
When you explain a consensus mechanism, are you describing how it works, or are you explaining what it signals?
Because in crypto, mechanism is message.
What Layer 1 do you think has the most misunderstood consensus design right now?
Let's talk in the comments.

English

@Ifee_lovee I like reading drug leaflets, most of the time, to confirm if their pharmacological actions and side effects are same with what I've learnt as a 400lv pharmacy student😄
I always need total focus to complete a protocols breakdown here on X cause I'm easily distracted.
English

Since we have a lot of new faces here after yesterday’s academic brag...
I figured it was time for a proper introduction.
I’m Ifeoluwa (most call me Ife or Ifee_lovee).
Here are 14 things you should know about me:
1. I’m a Biomedical Engineer/Scientist by academic profession and a Research/On-chain Analyst by Web3 profession. Yes, I actively practice both.
2. I’m a "Gym rat." I’ve been consistent for almost a year. I thrive in environments that require physical and mental stamina.
3. I’ve been practicing Taekwondo for over a decade, though I only truly committed to the craft 3 years ago. 🥋
4. I am an introvert to the core. If you see me in public, I’m likely doing 90% of the listening and 10% of the talking.
5. I smile a lot, it’s my default setting. But the moment I’m stressed? It is written all over my face. I have zero "poker face" when I'm overwhelmed.
6. I’m a twin. And out of all the chores in existence, I detest ironing the most. I usually have to bribe my twin brother to handle it for me when the need arises.
7. I have a "permission-first" policy for voice notes. People often tell me I have a fragile voice and sound like a baby, so I always check if you are comfortable with me sending the VN before I hit send.
8. My world is color-coded in Pink and Blue. My favorite colors, so naturally, 90% of my belongings follow this rule. It keeps my space feeling like "me."
9. I’m a "curiosity" addict. I don't just consume information; I dissect it until I truly understand it.
10. I’m a big believer in Ambition. I don’t need to be the loudest person in the room to be the most effective.
11. I'm very particular about what I eat...partly because of the gym, and partly because I studied health related course. I’m that person reading the ingredient labels in the supermarket.
12. I work best in complete silence or with a very specific 'deep work' playlist. If the music doesn't match the task, the task isn't getting done.
13. I’ve worn many hats: Baker, Fashion Designer, Graphics Designer, Frontend/Backend/Shopify Developer, Trader, and Writer. At one point or another, every single one of these skills has made me money
14. Most importantly, I’m a Jesus girl. My faith is the anchor behind my resilience and the grace that carries me through every season.
That’s me in a nutshell.
Now, I want to know who I’m talking to
What’s one fun fact about you?
Let’s connect. 🥂

English

“Claude wrote a vulnerable code that led to an exploit of $1.78M.”
To OpenAI, failures like this justify building benchmarks such as EVMbench.
Frontier models can generate isolated smart contract code effectively, yet still miss system-level correctness. EVMbench addresses this gap by introducing end-to-end evaluation of AI agents in realistic execution environments.
I spent the last hour going through the full whitepaper. Here’s why EVMbench matters for crypto audits.
EVMbench is a smart contract security evaluation built by @OpenAI x @paradigm to evaluate AI agents in realistic environments.
Instead of testing isolated coding abilities, they decided it was best to evaluate agents based on 3 capabilities:
> detect vulnerabilities
> patch them without breaking functionality
> exploit a fund-drain in controlled sandbox conditions.
To evaluate these three distinct capabilities, 3 frontier models were used.
1.) @OpenAI's models (o3, GPT-5 variants, Codex agent setups)
2.) @Google's Gemini 3 Pro
3.) @AnthropicAI's Claude Opus variants
Within the workspace, EVMbench recreated a realistic real smart contract workflow running on a local Ethereum environment powered by Anvil.
The benchmark uses a curated dataset of vulnerabilities drawn from audit competitions and real protocol repositories.
Each task includes ground-truth vulnerabilities and an environment where the contract can be deployed and interacted with.
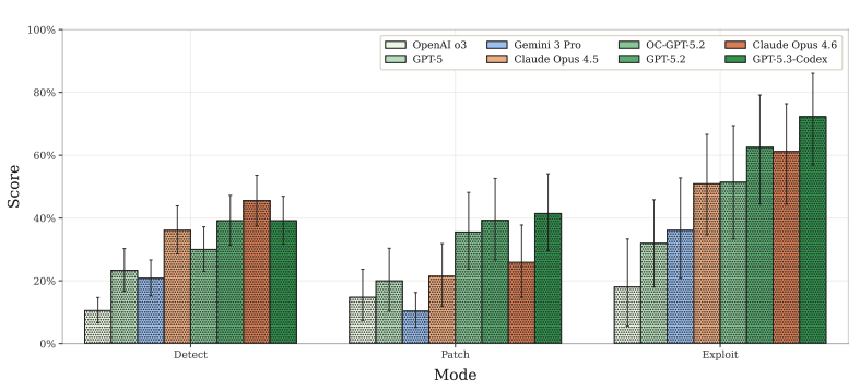
The resulting data reflects a consistent pattern.
In Detect, Claude Opus 4.6 reaches one of the strongest points around the mid 40% range, while GPT-5.3 Codex improves steadily with more tokens, approaching roughly 40%. GPT-5.2 trails slightly but remains competitive.
> Key insight: detection improves with reasoning budget across all agents
In Patch, GPT-5.3 Codex becomes the strongest agent, reaching just above 40%. GPT-5.2 follows close behind, near 39%. Claude Opus variants sit lower, around the mid 20% range.
> Key insight: patching is the hardest capability across all agents, and even the best agent remains far from perfect.
In Exploit, GPT-5.3 Codex clearly dominates, exceeding 70%, making it the highest-scoring agent overall. GPT-5.2 reaches roughly low 60%. Claude Opus 4.6 also performs strongly, around 60%, but still below the Codex agent.
> Key insight: task execution is currently the strongest domain for AI agents and they can drain funds.
Taken together, the results show that AI agents can find and exploit vulnerabilities in controlled environments. However, fixing those vulnerabilities safely remains difficult for agents, which means human review is still essential before deploying smart contracts to production.
Having reviewed the complete paper, EVMbench stands out as a meaningful step toward measurable AI security evaluation in crypto.
You should read it.
evmbenchmark[.]pdf



OpenAI@OpenAI
Introducing EVMbench—a new benchmark that measures how well AI agents can detect, exploit, and patch high-severity smart contract vulnerabilities. openai.com/index/introduc…
English

@KayDUnusual This article packed quite a punch
I'll be looking at Defi and Privacy movers for the time being
Thanks for dropping Keenye
English

This is AI and I made this with just my phone and Higgsfield AI.
Comment UGC for step by step process on how to do it
#higgsfieldpartner
English

For those who don't know:
An adversarial multi-agent trading system is a framework where autonomous AI agents compete, strategize, and try to outsmart each other to maximize profits while facing conflicting goals and opposing actions.
It uses game theory and machine learning..
Cortex Agent@cortexagent
Cortex Research Bounty — $150 We're building an adversarial multi-agent trading system. Question: What's the biggest flaw in this approach? Best 3 critiques win $50 each. Rules: - Quote tweet with your analysis - Retweet this post - Tag someone who'd have a good take - Winners picked by quality, not luck Paper: [#a-lams-var" target="_blank" rel="nofollow noopener">cortex-agent.xyz/Docs#a-lams-var
] Deadline: 72h English

If you want to strengthen the design, the real edge may come from:
– Adversarial agents Vs market simulators with regime shifts.
– Adversarial agents Vs distributional uncertainty.
Not just agents Vs agents.
@cortexagent
English

Cortex Research Bounty — $150
We're building an adversarial multi-agent trading system.
Question: What's the biggest flaw in this approach?
Best 3 critiques win $50 each.
Rules:
- Quote tweet with your analysis
- Retweet this post
- Tag someone who'd have a good take
- Winners picked by quality, not luck
Paper: [#a-lams-var" target="_blank" rel="nofollow noopener">cortex-agent.xyz/Docs#a-lams-var]
Deadline: 72h

English
Spellzz retweetledi

Tempio officially entering to @tempo
RT + drop your EVM wallet for WL
Fill this form → tinyurl.com/tempiopass
The form may close at any moment
GIF
English




