Sabitlenmiş Tweet
EnviDat @ WSL
82 posts

EnviDat @ WSL
@EnvidatService
EnviDat is an #environmental #data #portal developed at the WSL. Providing unified and managed access to a wide range of environmental data.
Birmensdorf (ZH), Schweiz Katılım Eylül 2013
75 Takip Edilen88 Takipçiler
EnviDat @ WSL retweetledi
EnviDat @ WSL retweetledi

We mapped grassland-use intensities across Switzerland based on satellite time series. The resulting maps explained biodiversity patterns in Swiss grasslands well. 🛰️
#Sentinel2 #Grassland #LandUse
@DomiWbr @MarcelSchwieder @KochTiziana @WSL_research
doi.org/10.1002/rse2.3…

English

New feature arrived on EnviDat: Dataset Creation Workflow with progress indication.
Read More:
envidat.ch/#/blog/new_cre…
#environmental #science
GIF
English

New feature arrived on EnviDat: Reordering of Authors
Read More:
envidat.ch/#/blog/new_doi…
#environmental #science
GIF
English

New feature arrived on EnviDat: Dataset Publication workflow with DOI minting.
Read More:
envidat.ch/#/blog/new_doi…
#environmental #science
GIF
English

We have a job offer for you:
Join team at EnviDat to grow the platforms UI & UX.
Bring in your innovative ideas & solutions for Tools & services for #environmental #science
@WSL_research
Stack: #vue, #vuetify, #python with a #postgreSQL DB #digitalCH
English

We have a job offer for you:
Join team at EnviDat to develop a #GIS web app. Bring in your innovative ideas & solutions for Tools & services for #environmental #science done @WSL_research
Stack: #vue, #node, #python with a #postgreSQL DB
#digitalCH
apply.refline.ch/273855/1525/pu…
English
EnviDat @ WSL retweetledi

🇨🇭 Switzerland generously supports @datadryad, @LAReferenciaAA and @ResearchOrgs with 121 000 € from 2023 to 2025🎉!
Thank you 🙏@unil @UZH_en @UniNeuchatel @ETH_en @Lib4RI @CERN @zhdk @UniBasel_en @ZHAW @unifr
Read more about that on our website: scoss.org/switzerland-su…

English
EnviDat @ WSL retweetledi

Meet #CHELSA @EnvidatService @DirkNKarger! It provides global #climatedata on a very high spatial and temporal resolution for the past, present & future. It is the only data set that can provide these resolutions and is highly used across many disciplines. envidat.ch/#/metadata/che…

English
EnviDat @ WSL retweetledi

Registration is open for the @re3data @CoreTrustSeal online workshop on #Data quality management at #repositories on October the 5th!
🏃Hurry up - first come first serve basis - 100 virtual seats available 👇
fair-impact.eu/events/other-f…
re3data.org@re3data
📣Save the Date! 📆 October 5, 2022, 12:00 UTC 👉 Online Workshop on #QualityManagement at #ResearchDataRepositories 🧑💻Organized by @maxi_ki & @dorothearrr from the #re3dataCOREF project, in collaboration with @CoreTrustSeal ➡️ coref.project.re3data.org/blog/save-the-…
English

Der schweizer #Wald liefert nicht nur den nachhaltigen Rohstoff Holz. Er speichert zusätzlich CO2, reinigt und speichert Trinkwasser, fördert die Biodiversität und bietet Raum für Erholung.
Welchen Stellenwert haben diese Funktionen?
WaldKongress:
waldschweiz.ch/de/wissen/vera…
Deutsch
EnviDat @ WSL retweetledi

«Das habe ich noch nie erlebt» – eine Fahrt durch die ausgetrocknete Deutschschweiz. watson.ch/!645074843?utm…
Deutsch

The article "Cloud Optimized Raster
Encoding (CORE)" Is online:
mdpi.com/2673-7418/1/3/…
It's about a "Web-Native Streamable Format for Large Environmental Time
Series".
Published in @Geomatics_MDPI
#environmental #Science
English
EnviDat @ WSL retweetledi

Auch der #Ramerenwald, gleich neben der @WSL_research, wurde stark zerzaust. Gut sichtbar in der Drohnenaufnahme nach dem Sturm vom 13.7. #UAV @DJIGlobal #Phantom4RTK

Deutsch

@WSL_research @opendataswiss The update frequency will be every week. Also to clarify not all data is integrated due to licencing and other factors, if you missing something check out envidat.ch
English

We are happy to announce that the #environmental
#research #data from @WSL_research is available on @opendataswiss portal!
Have a look: opendata.swiss/de/organizatio…
#OpenData
GIF
English
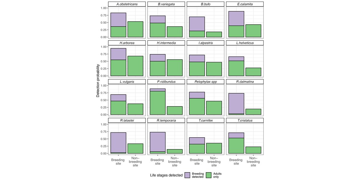
EnviDat @ WSL retweetledi

New in @ESAApplications:
Estimation of breeding probability can make monitoring data more revealing: a case study of amphibians
With #OpenData in @EnvidatService
#WildlifeMonitoring #OccupancyModeling #Amphibians @AmphibiSam
doi.org/10.1002/eap.23…

English
EnviDat @ WSL retweetledi

.@EnvidatService is a portal #madewithvuejs & @vuetifyjs by @WSL_research providing access to a wide range of environmental monitoring and research data! 🌳🌍️ - madewithvuejs.com/envidat

English
EnviDat @ WSL retweetledi

Jetzt auch auf Deutsch: Webauftritt WSL #Forschungsprogramm #Extremes @WSL_research @SLF @SLF_SnowHydro @Hydrology_WSL wsl.ch/de/ueber-die-w…

Deutsch

