Sabitlenmiş Tweet

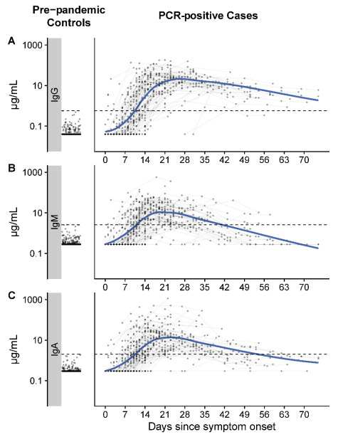
@florian_krammer We found that IgG antibodies binding to RBD and pseudoneutralizing antibodies had little evidence of decay in measurements up to 75 days. As potentially expected, we found IgM and IgA antibodies binding to RBD decayed at approximately 50 days.
medrxiv.org/content/10.110…

English




















