Son Goku
20 posts


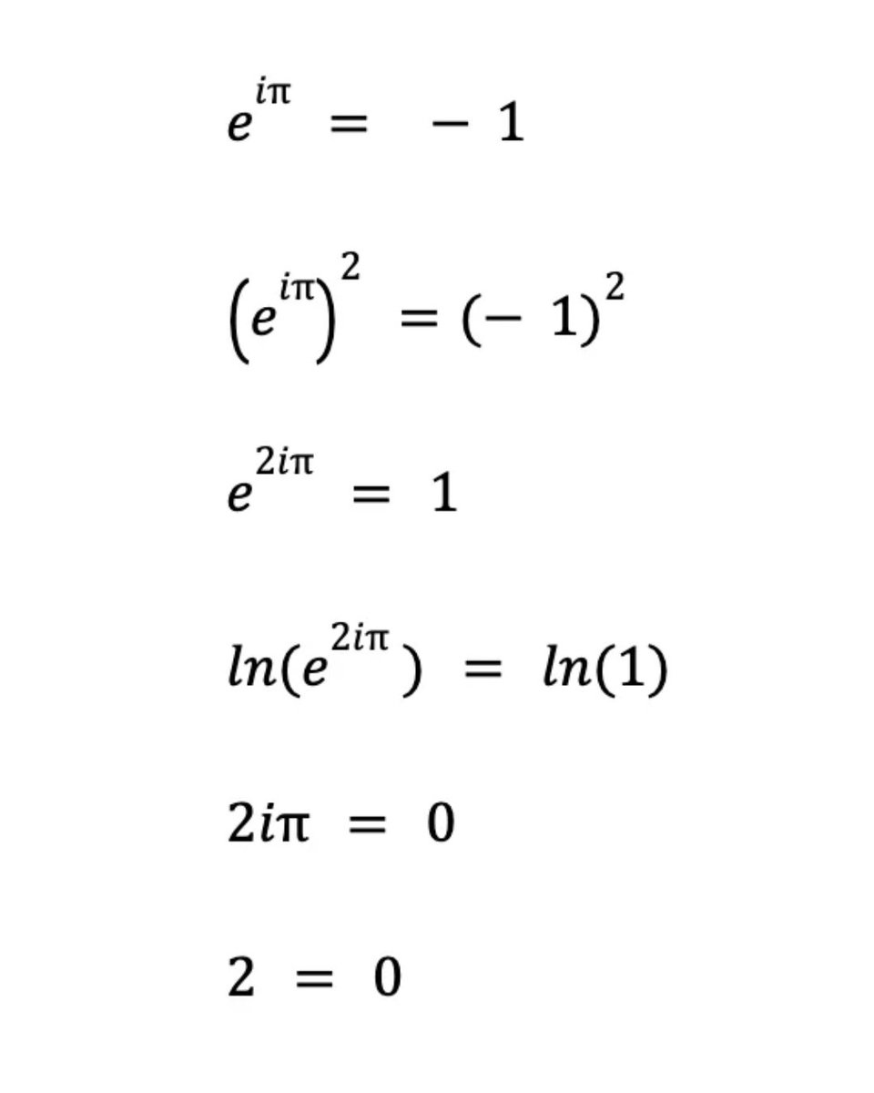
@Math_files The mistake is in the log step. e^(2iπ) is just 1. When you take the log of 1, you get 0. The log function "forgets" that you just walked a full circle (2iπ) to get there. It only sees where you ended up (1) and assumes you never left home (0).

English

@Math_files You can't use that exponent rule (x^a)^b = x^(ab) when your base is negative and you're dealing with roots. It just doesn't hold up.

English

🏆 BEST POPPY PLAYTIME CHAPTER
Enough time has passed. It's time to decide Which Poppy Playtime Chapter you think is the BEST? Share your honest opinions!
#PoppyPlaytime #PoppyPlaytimeChapter5

English

The whale is BACK!!! 👀👀👀
huggingface.co/deepseek-ai/De…
English

འབྲུག་གི་མི་སེར་དང་ འགོ་ཁྲིདཔ་ཚུ་གིས་ རྒྱ་གར་ལས ་ སྟོན་པའི་རིང་བསྲེལ་བྱིན་ལྡན་ཚུ་ བྱོན་པ་ལེགས་ཞུ་མི་ལུ་ སེམས་ཀྱི་གཏིང་ལས་རང་ བཀའ་དྲིན་ཆེ་ཟེར་ཞུ་ནི་ཨིན།
འ་ནི་ཤུལ་བཞག་རིགས་ཚུ་ མཐུན་ལམ་དང་ སྙིང་རྗེ་ དེ་ལས་ གཅིག་མཐུན་གྱི་ དུས་རྒྱུན་གྱི་ བརྡ་འཕྲིན་ལུ་ བརྡ་མཚོན་འབདཝ་ཨིནམ་དང ང་བཅས་རའི་རྒྱལ་ཁབ་གཉིས་ ཀྱི་བར་ན་ མཐུད་སྦྲེལ་གྱི་མཐུན་ལམ་ཅིག་ཨིན་མས།
facebook.com/share/p/16kev8…
BO



























