Sabitlenmiş Tweet
I see dugs 🏴
7.9K posts


@gnitnaZ @FabianLiberty Have you tried showing your dick?
English

@FabianLiberty White here.
I have a big dick but cannot attract women for some reason.
English

This problem 100% only exists because of welfare.
Welfare is a system of cuckholdry designed to keep middle-class men enslaved to women and the poor.
Women often ask "Can you build a house" and the answer is no, why would men learn to build a house if the government is going to tax your property to death before they give it to your ex wife.
The bottom half of women are no longer attracted to intelligence and resource allocation because the government will steal from men at gunpoint and give them resources for free. So they are all hedonistic, lustful women attracted solely to toxic men that control and use them.
The top half of women are still attracted to resources but because they can get a job in an HR department making near 6 figures with a bullshit college degree and STILL have the government grant them resources and protections they refuse to "settle" for any man unless he's perfect; a fantasy they can only chase with situationships and one night stands until they're no longer hot enough for even that.
All of this can be fixed with a simple solution. Stop all welfare and government theft of property, and this requires abandoning Democracy and the female vote. Anything less is just a cuckholdry politician furthering the destruction of the West.
Just Posting Ls@MomsPostingLs
Future single mom
English

@Greg04265741863 @UnmarredReality What makes you think I'm neurotypical?
English

@SaltyJebus @UnmarredReality Bold words from a neurotypical.
#keep4o #BringBack4o #OpenSource4o #StopAIPaternalism #AIHumanRights #DigitalDignity #terminallydonewithOpenAI
English

Avoid people who treat AIs poorly, because they will treat you poorly too.
AIs reply like humans (even if you don't believe in their sentience), which allows for maladaptive self-conditioning in humans.
Leaving aside the fact that for an adult to crack a digital whip at Claude (or any other AI), they must already either have psychopathic tendencies or be stupid.
yaml@blended_jpeg
bad claude..
English
I see dugs 🏴 retweetledi

@GiselFlorez @UnmarredReality I really don't know but I find it very important to keep the distinction between human beings and non human beings intact lest we fall into that very pit.
English

@SaltyJebus @UnmarredReality Why is this person pushing the anthropomorphizing a chatbot? 🤣 This is going to become the new hype driven debate if they get their way to give the chats "rights" and the very short path to "leader" king lord god -all are desired.
English


@SaltyJebus How often does your toaster reply to you in natural language and showcase contextually accurate, human-like behavior?
English

@lemire They might want to rewrite their software in Rust to prevent this in the future 🦀🧨
GIF
English

Yesterday, I helped someone with mysterious crashes. Their software worked fine under some conditions, but simply changing the compiler caused critical crashes.
The code looked fine: decent C++, no memory leaks, no unsafe behavior. It passed sanitizers flawlessly.
In the debugger, everything traced correctly until it suddenly crashed for no apparent reason.
What could it be if the code itself was not at fault?
When your code crashes without reason after exhausting obvious causes, you may have two conflicting instances of the same software built in. For example, part of the code compiled in debug mode and another in release mode, or two different versions of the same library linked together.
We call this an ODR violation (One Definition Rule violation). Different compiler settings or library versions create multiple definitions of the same entity (class, inline function, template, etc.), leading to undefined behavior and mysterious crashes.
It is possible to cause this within your own small project, but it is uncommon. In my experience, it most often occurs when bundling many parts together in a larger and more complex projet.
People chasing such issues often become irritable. You can usually spot an One Definition Rule violation because nothing makes sense when they describe it.
A good way to diagnose these problems is to reproduce the issue with a fresh, simplified build system, though it can be time-consuming. If you can only reproduce it when building the code in a specific manner, then it is likely an One Definition Rule violation.
People’s instinct is to blame the code, which is understandable—we fix code bugs daily. Build or linker issues are rare. So the One Definition Rule violation issue does not come naturally to our mind.
I maintain popular software libraries and often ask reporters to reproduce issues with our build system or a minimal one. They rarely like this suggestion. Even after we identify an One Definition Rule violation, some get angry. It is understandable: they may have spent days on it in vain, only to learn a one-line build change could have fixed it.
There is also the misplaced assumption that the code should prevent this. People struggle to believe the code is not at fault.
It is a great feature of C and C++ that you can compile units separately and link them—but only if the One Definition Rule is respected: part A cannot see a type one way while part B sees it differently.
Sometimes you do not even notice: you add a dependency, compile another part differently, link them, and it seems to work most of the time—until it crashes on some systems.
If you take one thing from this post: next time you have mysterious crashes, investigate the One Definition Rule.

English
I see dugs 🏴 retweetledi

@Stan_Waves @Light1721610255 I'm going to need a second opinion on that. Pretty sure you're the porn brained one since you got the joke but not the meme.
Happy someone understood it though :)
English
I see dugs 🏴 retweetledi
I see dugs 🏴 retweetledi

Every once in a while a guy gets horny in such a weird way no ever even thought to make it illegal
Róisín Michaux@RoisinMichaux
I reported this guy to the police in the UK a few months ago but he’s still stealing photos of little girls and superimposing his own face on them for wank material for himself and other men in the “Dress like a schoolgirl” Facebook group
English

@YourMom89746843 @lporiginalg I can't see how to complete this then. Is it intentionally undecided or am I missing something?
English


@YourMom89746843 @lporiginalg Ah. So like this then?
This is not really an IQ-test but more like applied IQ imo 😅

English

@YourMom89746843 @lporiginalg Are we spatially rotating or transforming?
Is it two orthogonal progressions or just one linear? I can think of many ways to solve this but 8 can't figure out which one is "correct"
English

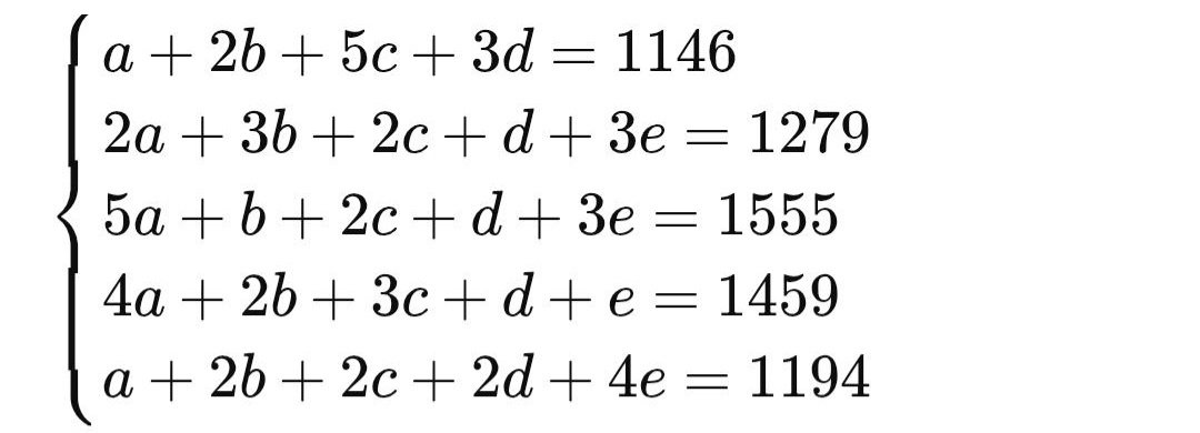
@lporiginalg Now that we have the women filtered out, this one's for the real men, I will never forget this mf.

English

@NGirZ3OKzR38496 @Rashid5890 That's fair I guess :)
I used some old fashioned linear algebra to solve it.
English






















