
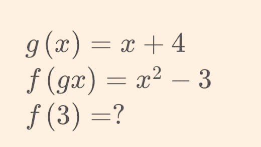
@dodecahedra As I see it the main problem with this - and definite integrals in general - is the third line, where the strong convention means we try to do far too many things at once. It can be very helpful to break this down into several individual steps.
English



















