Arthur Grabowski retweetledi

🚨 New data on #ProstateCancer RT toxicity 🚨
✍️@EurUrolOncol
Curious with how these data align w/ current counseling?
@AnthonyNguyenMD @AmarUKishan @DrSpratticus @Soum_Roy_RadOnc
🇮🇹 IRRADIaTE registry (>1,200 pts):
👉43% of men presenting w/ late GU complications had grade 3–5 toxicity
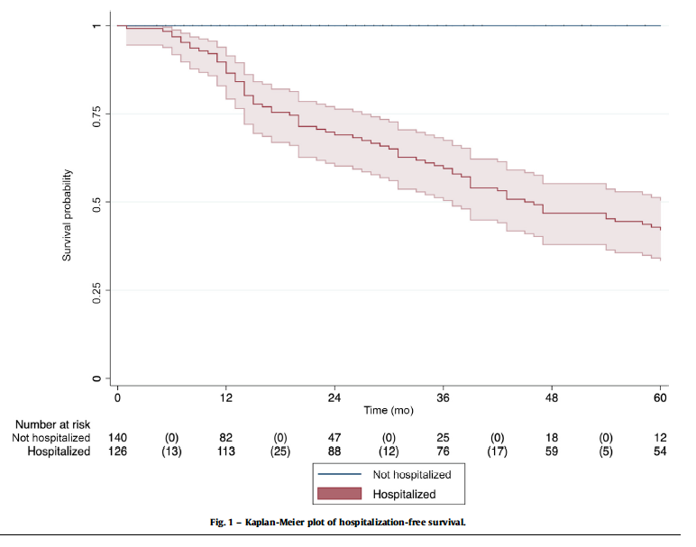
👉Hospitalization-free survival: 42% at 5 yrs
👉RT complication-related Surgery-free survival: 60% at 5 yrs
👉Primary RT > adjuvant/salvage RT for severe events
🔗shorturl.at/eGbKZ
@PCFnews @urotoday @UrologyTimes




English































