Asma Gulab retweetledi

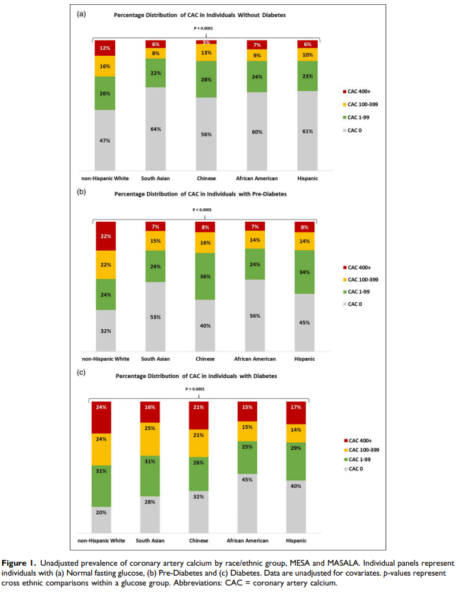
Our much awaited paper from #MESA & #MASALA ❤️. Diabetes ⬆️ likelihood CAC in #SouthAsians (SA) & Whites. Clinically significant > 100 CAC in SA & Chinese. ⬆️ fasting glucose ⬆️CAC in SA.
Led by Dr. Premyodhin. @DrNathanWong @BudoffMd @alka_kanaya
pubmed.ncbi.nlm.nih.gov/37795703/




English

















