Jorge del Christo retweetledi
Jorge del Christo
23.7K posts

Jorge del Christo
@jgseveriche
Padre cariñoso, esposo amoroso. Nullus agenti die longus est. “Serviam”
Cartagena Katılım Eylül 2011
2.7K Takip Edilen472 Takipçiler
Jorge del Christo retweetledi

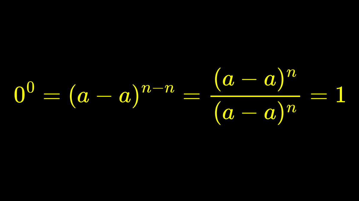
Here is a visual cheat sheet breaking down 6 essential types of integrals you’ll encounter:
1️⃣ Single variable (Riemann sum area)
2️⃣ Line integral (integrating along a path)
3️⃣ Lebesgue integral (advanced measure theory)
4️⃣ Double integral (volume under a surface)
5️⃣ Flux integral (vector field through a surface)
6️⃣ Triple integral (volume of a 3D region)
Make sure to SAVE this post for your next study session! 📌
#math #maths #mathematics #physics #learn #learning #study #education #algebra #calculus #numbers #school #college

English
Jorge del Christo retweetledi
Jorge del Christo retweetledi
Jorge del Christo retweetledi
Jorge del Christo retweetledi

#Atención Videos y audios muestran presuntos nexos de generales de la Policía y Presidencia con 'Papá Pitufo' bluradio.com/nacion/videos-…
Español
Jorge del Christo retweetledi
Jorge del Christo retweetledi

Esto es doblemente grave. Muestra la infiltración criminal al gobierno y el posterior encubrimiento encabezado por el mismo presidente. Así lo reconoció la Fiscalía.
x.com/i/status/20384…
Noticias Caracol@NoticiasCaracol
#UnidadInvestigativa | "Hechos muy graves": fiscal Camargo habla sobre los hallazgos en los archivos secretos de 'Calarcá' Ampliación 👉 tinyurl.com/2fjb624c
Español
Jorge del Christo retweetledi

#InformeEspecial | Investigación contra oficial dejaría en evidencia nexos de 'Pitufo' con generales de la Policía
Ampliación 👉 tinyurl.com/ympjm4sc
Español
Jorge del Christo retweetledi

🇨🇴 Colombianos!! Lamentamos decirlo pero el futuro de Colombia se ve muy preocupante:
🔺Ricardo Calderón revela que PETRO está ayudando a ALIAS CALARCA para incidir en las elecciones de presidente.
🔺 Inflación del 6% segunda inflación más alta de la OCDE
🔺Deuda pública la más alta de la historia
🔺Círculo de funcionarios de PETRO tienen nexos con papa pitufo.
🔺 700 municipios del país están tomados por la GUERRILLA.
🔺En el gobierno PETRO las guerrilleras se han fortalecido un 400%
🔺Petro e Ivan CEPEDA anuncian una constituyente para cambiar la constitución la cual será redactada por Petro.
🔺 PETRO anuncia que una vez gane cepeda hará los cambios respectivos en el banco de la república para tener mayorías.
🔺Narcos le dicen a la justicia Americana que apoyaron a PETRO con dinero para la campaña de 2022.
🔺Generales de la república están aliados con las Disidencias de las FARC.
🔺Ivan cepeda anuncia que redistribuira la riqueza y será controlada por el estado.
El panorama es bastante preocupante, si sigue todo como va, las FARC va a gobernar el país por unos 30 o 40 años.
Español
Jorge del Christo retweetledi
Jorge del Christo retweetledi
Jorge del Christo retweetledi
Jorge del Christo retweetledi

El periodista Ricardo Calderón quien dirige el equipo de investigaciones de @NoticiasCaracol haciendo lo que debió hacer la @FiscaliaCol larga vida para el y que dios lo proteja por que las investigaciones del periodista confirman que alias calarca seguía delinquiendo como gestor de paz y fueron tan contundentes que obligó a la fiscal a darle la razón qué vergüenza de fiscalía, obviamente actuó con omisión para favorecer al Mesías de turno aberrante

Español

@DanielSamperO @RXBS1380 Es muy grave y muy viejo, ya lo sabían los entes de control y hasta ahora salen a corroborar.
Español
Jorge del Christo retweetledi

El príncipe saudí MbS revela que el presidente Obama le dio a Irán 150 mil millones de dólares, y que la Guardia Revolucionaria ni siquiera construyó una sola calle con ese dinero.
En cambio, fabricaron misiles y drones. Y utilizaron los fondos que Obama les proporcionó para financiar y armar a terroristas como Hamás, Ansar Allah y Hezbolá. Con estos fondos, Irán ofrece refugio a los líderes de Al Qaeda, incluido uno de los hijos de Osama Bin Laden, quien fue adoctrinado en el yihadismo.
Obama es, con diferencia, el peor hombre que jamás haya pisado el Despacho Oval. Los neoliberales como Hillary Clinton, Victoria Nuland, Samantha Power, etc., que dirigieron su administración lo hicieron deliberadamente para mantener la región desestabilizada y utilizar a Irán como amortiguador para evitar que los estados del Golfo e Israel acumularan demasiada prosperidad.
La Primavera Árabe, a su vez, fue su manera de crear una crisis de refugiados que sumiría a Europa en una agitación financiera y social, cuyos efectos son claramente visibles hoy en día, mientras luchan contra un cambio demográfico irreversible.
El caos es una escalera, y la paz es mala para los demócratas. Era su manera de mantener a Oriente Medio bajo control para poder conservar el orden mundial unipolar bajo la agenda neoliberal.
Los neoliberales hicieron lo mismo con Ucrania, e intentaron hacerlo con Kazajistán, Bielorrusia, Georgia, Eslovaquia, Hungría y Polonia. Y lo hicieron a través de USAID.
Cosas malvadas, malvadas.
Vía @ianmiles
Español
Jorge del Christo retweetledi

El gobierno terminó pagando deuda cara que estaba por vencerse adquiriendo deuda carísima, y no más barata. Eso le suma, según cálculos que fueron revisados por expertos, 52 billones de pesos más que pagará el siguiente gobierno.
lasillavacia.com/silla-nacional…
Español
Jorge del Christo retweetledi
Jorge del Christo retweetledi
Jorge del Christo retweetledi

🚨 EL GOBIERNO PETRO HABRÍA ENTREGADO FRECUENCIAS DEL EJÉRCITO A LAS DISIDENCIAS.
La Fiscal ratificó la investigación de @NoticiasCaracol: el general Huertas y Mejía, presuntamente, entregaron códigos de comunicación a la guerrilla.
@petrogustavo tiene que dar la cara YA.
Español













