vardonator
76 posts

vardonator
@vardonator
Maths teacher and amateur musician. All opinions my own.
East Sussex Katılım Eylül 2023
63 Takip Edilen7 Takipçiler

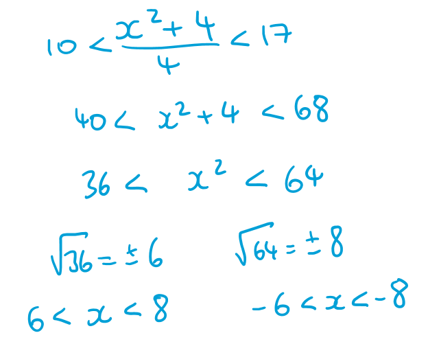
@1stclassmaths I would encourage a student to check their inequality signs made sense.
If it was a teacher I'd have a quiet word - maybe they could use it as a starter to spot the error, and proof to their class they are only human.
English

@Sheena2907 @CasioMaths They've gone to Heads of Maths, so you need to wrestle one from one of them!
English

Lots of my friends have been sent a free CG100 from @CasioMaths and I haven't got one. I'm KS5 lead across a big Trust and I really really think it's in your interests to send me a free one pretty pleeaaaasseee
GIF
English
vardonator retweetledi

On Friday, a select group of our Year 11s were invited to @stjohnscam for a Maths Taster Day! Our girls enjoyed the insight into the curriculum, research and careers - Thanks for hosting us! 👩🏫📊 #mayfieldgirls #mathstasterday #stjohnscambridge #independentgirlsschool #sussex



English
vardonator retweetledi

Bowling fun for Year 10!🎳
Our Year 10 boarders had a wonderful time at Hollywood Bowl over the weekend!
#mayfieldgirls #bowling #boardingfun #arcade #independentgirlsschool #sussex




English

@Wonder_Bookshop And preferably children's books not written by celebrities.
English

.@Marist_Sport I had the opportunity to touch a Paris 2024 gold medal earlier in the week. An old girl of my new school won in the rowing!
Good luck at Condover.
English
vardonator retweetledi

@Georgin10536228 @MathsNot @mathsjem You have to consider the cost of exam fees, if you are doing it for everyone. Plus grades achieved will have to be declared on UCAS forms and less of the y13 content covered which could impact those doing admissions tests/interviews.
English

@MathsNot @suffolkmaths But is it fair to ask them to look at a question you think should have more marks whilst ignoring the one where they've overmarked?
English

@suffolkmaths Exam boards do tend to fall back on “we’ve never done it that way before” but the Access to Scripts service changes the nature of re-marks; a lot of re-marking is now done which isn’t really necessary
English

Any interest @Mayfieldgirls ? I taught David's daughter for 7 years.
David Barker 📕 Pax & The Missing Head out now@BlueGold201
Hi teachers & school librarians. To celebrate the launch of book 2 in my London Falling series, Pax & The Forgotten Pincher, I'm offering 10 free school visits this term. Please follow & RT to be in with a chance of winning. Good luck for the new term @TinyTreeBooks #edutwitter
English


What are you currently reading?
I'm definitely more of a non-fiction reader but love the escapism of fiction too.
Currently reading "Rest: Why you get more work done when you work less" and "The Forty Rules of Love" by @Elif_Safak
#bookworms

English

Polypocket. 🤷♀️
World of Engineering@engineers_feed
Can we decide once and for all, what is this thing called?
English

@Sheena2907 @neileley Sounds like those students who insist 1 cm² =10 mm² (even after being shown a diagram proving its 100 mm²).
English

@Bobby_Seagull @GMB @kategarraway @edballs @trelowe If there is they could be kind enough to wait for September to let teachers benefit from it!
English

What will my students think of my new summer buzz cut?! Heading to school now!
Fun @GMB debate with hosts @kategarraway @edballs
& 2024 Apprentice finalist @trelowe 🗣️
Should there be a Bank Holiday if England win #Euro2024? I was the economic grinch and said no 🙅🏼♂️
Good Morning Britain@GMB
England fans are calling for a bank holiday to celebrate Gareth Southgate's squad making the Euros 2024 final this Sunday. But the government estimates that an extra bank holiday would cost the economy around £2BN. Should there be a bank holiday on Monday? Tre Lowe and @Bobby_Seagull debate.
English

@Sheena2907 @popsyclothing I held off for a while as I don't need new dresses, but in the end had to buy it!
Was first inspired to get maths dresses by you and @mathsjem
English

@vardonator @popsyclothing No way! Spreading the maths dress love 🥰 I particularly like this one. It fits really well
English

My @popsyclothing dress arrived 😍 I promised my 12s at my Friday school I'd wear it first there so it will get it's first outing in 2 days time 😃

English












