Lindsay Fourman

22 posts

Lindsay Fourman

Lindsay Fourman

@FourmanL

Endocrinologist at MGH/HMS. Clinical researcher studying complications of HIV infection over the life course including in utero exposure.

Boston, MA เข้าร่วม Mart 2019
101 กำลังติดตาม69 ผู้ติดตาม
Lindsay Fourman รีทวีตแล้ว
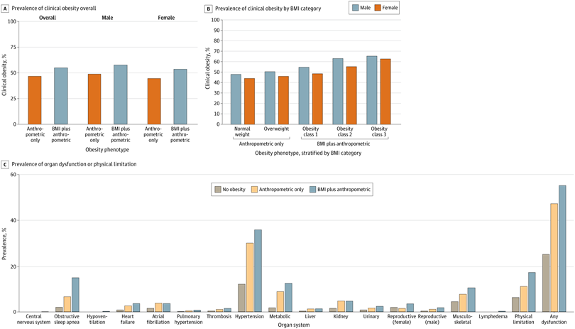
JAMA Network Open
JAMA Network Open@JAMANetworkOpen·
A new #obesity definition that combined BMI and anthropometric measures increased prevalence by 60% and more effectively identified those at higher risk for organ dysfunction and complications. ja.ma/4olR46G
JAMA Network Open tweet media
English
0
2
5
440
Lindsay Fourman
Lindsay Fourman@FourmanL·
Serving as a discussant on the Case Records of the MGH has been a dream of mine since med school. Honored to have cared for this patient and to be a part of this work in collaboration with @KaitlynShankMD, Rebecca Brown, and @StephenORahilly.
NEJM@NEJM

In the latest Case Records of the MGH (@MassGeneralNews), a 46-year-old woman with type 2 diabetes was admitted because of hyperglycemia for which she was receiving over 2000 units of insulin per day. A diagnosis was made. Read the full case: nej.md/3J4mtId

English
0
0
2
2.8K
Lindsay Fourman รีทวีตแล้ว
Mass General MDs
Mass General MDs@MassGeneralMDs·
A study led by #MGH physicians Andrea Edlow MD and Lindsay @FourmanL MD was covered by @GoHealio. The study found that infants exposed to COVID19 in utero had a lower birth weight and greater weight gain during the first year of life than those not exposed healio.com/news/endocrino…
English
0
1
6
494
Lindsay Fourman รีทวีตแล้ว
Edlow Lab
Edlow Lab@EdlowLab·
Appreciated the opportunity to collaborate with @FourmanL on this impt work. Altered growth trajectories in infants born to mothers with COVID-19 in pregnancy may presage increased cardiometabolic risk. Great team inc @LydiaShook10 @DrCarmenMD & many not on Twitter. @MGH_RI
Endocrine Society@TheEndoSociety

Children born to mothers who had #COVID during #pregnancy may be more likely to develop #obesity, according to a new study published in the #JCEM. Read more in @Endocrine_News: bit.ly/3KhLDEN @EdlowLab

English
0
3
8
1.8K
Lindsay Fourman รีทวีตแล้ว
C. Michael Gibson MD
C. Michael Gibson MD@CMichaelGibson·
A new weight loss drug could become the best-selling drug of all time. In 2023, the FDA will likely approve the diabetes drug #tirzepatide for weight loss — but there's little indication insurers will widely cover the medication. Tragic & shortsighted nbcnews.com/health/health-…
English
9
17
65
29.2K
Lindsay Fourman รีทวีตแล้ว
Edlow Lab
Edlow Lab@EdlowLab·
Check out this Maternal-Fetal-focused issue of @J_Immunol @ImmunologyAAI, edited by @nardhygomez . Proud of @LydiaShook10 ‘s featured work, in collab with Lindsay Fourman @MGHMedicine @MGH_RI @MGHVCRBResearch
Nardhy Gomez@nardhygomez

Super excited to share with you the #MaternalFetal #Immunology issue of the @J_Immunol @ImmunologyAAI Great reviews from @DrFran_Colucci @choosy_uterus @peggypetroff @EdlowLab and #NGLlab Check it out 👉 jimmunol.org/content/209/8?…

English
5
5
31
0
Lindsay Fourman รีทวีตแล้ว
MGH Metabolism Unit
MGH Metabolism Unit@mghmetu·
Happy Mother’s Day from all of us at the MetU! For some fun this year, consider joining a short research study with your young adult son or daughter to celebrate your special bond: rally.partners.org/study/mghhered…
English
0
1
4
0
Lindsay Fourman รีทวีตแล้ว
MGH Metabolism Unit
MGH Metabolism Unit@mghmetu·
Happy National Nurse’s Week! The MetU thanks the amazing research nurses at MGH who collect important data while providing our patients with great experiences. Our #research wouldn’t be possible without you! #nursesweek @MGH_RI
English
0
2
5
0
Lindsay Fourman รีทวีตแล้ว
MGH Metabolism Unit
MGH Metabolism Unit@mghmetu·
Need another opinion to solve a patient’s metabolic mystery? We’re here for you! The new MGH Lipid and Metabolism Associates is accepting new patients. @MGHMedicine #researchmedicine
English
0
1
0
0
Lindsay Fourman
Lindsay Fourman@FourmanL·
At Metabolic Disorders Conference this month, we emphasized the importance of lifestyle changes in the management of hypertriglyceridemia. What is your diet of choice for patients with DM2 who present with high triglycerides? @mghmetu @MGHMedicine @TheEndoSociety #MedTwitter
Lindsay Fourman tweet media
English
0
1
3
0
Lindsay Fourman
Lindsay Fourman@FourmanL·
Great discussion at Metabolic Disorders Conference this week on CVD in patients with DM2. In Cleveland Clinic study, metabolic surgery in patients with DM2 was associated with reduced incidence of MACE. #JAMA @mghmetu @MGHMedicine @Ali_Aminian_MD
Lindsay Fourman tweet media
English
0
3
5
0
Lindsay Fourman รีทวีตแล้ว
MGH Metabolism Unit
MGH Metabolism Unit@mghmetu·
Did you know? People with HIV are more likely to have chronic inflammation in the body, which can impact the heart in people living with HIV. To learn more, follow our page for updates/study opportunities!
English
0
1
0
0
Lindsay Fourman รีทวีตแล้ว
MGH Metabolism Unit
MGH Metabolism Unit@mghmetu·
Happy New Year! We are excited to kick off this year with our new social media pages. We are a research unit at MGH focused on metabolic issues and conditions. Be sure to follow us here and on Facebook (facebook.com/mghmetu) to stay updated on our studies and findings!
MGH Metabolism Unit tweet media
English
1
3
4
0