miguel

32 posts

miguel

miguel

@mlmorris33

เข้าร่วม Mart 2012
1.1K กำลังติดตาม77 ผู้ติดตาม
miguel
miguel@mlmorris33·
@ddeanjohnson, thanks for sharing your Q&As with Kirkpatrick. I noticed you used the term “extraterrestrial life” in your questioning. You might want to consider using “nonhuman intelligence” instead going forward as it is broader and would minimize word smithing by the likes of Kirkpatrick and other government reps
English
1
0
0
59
D. Dean Johnson
D. Dean Johnson@ddeanjohnson·
@GeorgieMySon75 I see that you have posted here that @RossCoulthart "vouch[es]" for Bob Lazar. That assertion is not consistent with past statements by Mr. Coulthart, but maybe I've missed the latest. So let's give Mr. Coulthart a chance to clarify whether he really does now vouch for Lazar.
English
4
0
11
834
Georgie Smith #Reform
Georgie Smith #Reform@GeorgieMySon75·
George Knapp and Ross Coulthart both vouch for him, they have the highest level sources. Suck it up
D. Dean Johnson@ddeanjohnson

THE MORPHING STORY OF ALIEN ISOTOPE "115" Of all the rote things Bob Lazar fans repeat about his claims, among the most wildly erroneous is the assertion that Lazar has "always told the same story." Most who have really studied early Lazar materials (as opposed to the greatly cleaned up narratives peddled by such storytellers as @g_knapp and @JeremyCorbell) find the "same story" assertion to be truly laughable. Offhand, I cannot think of a significant element of Bob Lazar's UFO-related tales, or his claims about his own background, on which Lazar has NOT made contradictory statements. It is not just that Lazar has lied promiscuously--he has also lied lazily, trusting that his promoters will smooth things over, as indeed they have, from the beginning, and decade after decade. The examples are innumerable--Lazar's educational and scientific credentials, his criminal history, the nature of his role at the Los Alamos laboratory, et cetera, et cetera. Contemporary promoters such as @joerogan have repeatedly embraced and amplified cleaned-up or disproven Lazar claims without apparent awareness of, or evident concern, about their history. Just for example, let's take Lazar's claims about a purported alien isotope that he said defeats gravity and churns out power like the sun. Lazar claims to have figured out the secrets of this material while working as a physicist for a super-secret government program that supposedly possessed nine intact alien craft, at least one of which, he said, was being flown (in 1989!). He claimed also to possess/control a quantity of this alien material. This claim has been featured for decades in Lazar-promoting narratives such as Jeremy Corbell's 2018 film "Bob Lazar: Area 51 & Flying Saucers." See also the clip from a 2014 George Knapp speech below. Lazar claimed this miraculous substance is a stable isotope of "Element 115," the element with 115 protons, now officially known as moscovium (symbol: Mc). No such stable isotope is known to science; the five lab-created isotopes of moscovium all have half-lives that are fractions of a second. But the concept of a "stable isotope of Element 115" postulates that some certain number of neutrons would constitute an isotope that would endure indefinitely and would also, in Lazar’s tale, somehow manifest both gravity-defeating and sun-like power-producing properties. For those who know Lazar’s history only through the streamlined narratives promoted by Knapp, Corbell, and other storytellers, it may come as a surprise that Lazar has contradicted himself about both the number of protons and the number of neutrons in the purported super-powered alien substance. Yet those are the very two variables that define, respectively, an element, and an isotope of an element. In a Sept. 22, 1990 interview with author Michael Lindemann, Lazar said, "I was the one who identified 115. That was my only contribution to the project. And I don't stand on the fact that it's 115, but if it's not, it's 114. It's right in there." So here we see Lazar, early on, claiming to have identified ‘Element 115’ as the substance that made the alien craft work--except he was not even sure that the element in question had 115 protons! It might have 114! "It's right in there"! Yet the number of protons is, of course, what defines an element in the first place. This 1990 statement by itself is sufficient to make the entire "Element 115" tale laughable. But that's not all. A given element can have very different properties depending on the number of neutrons. An isotope is defined precisely by the number of neutrons. Yet Lazar has also said contradictory things about the number of neutrons in the alien isotope. "Atomic mass" can mean several things depending on context, but when shown as a whole number (no decimal) for a specific isotope, it is understood to mean "mass number"-- that is, the sum of the number of protons plus the number of neutrons. Around 1989, Lazar told his pal Joe Vaninetti that the mass of the alien substance was 271; if the super-isotope had 115 protons, that would mean it had 156 neutrons. Yet many later years on his United Nuclear website, Lazar sold mugs and T-shirts blazoned with a diagram for what he then called "Lazarium" (his modest nomenclature for "Element 115"), but showing the "atomic mass" of the alien isotope as 299--so that would be 184 neutrons. 156? 184? Bob Lazar smuggled in 28 additonal neutrons to his original alien isotope. Why might he have done that? Perhaps because, in between those two incompatible claims, element 115 was actually synthesized for the first time, in Russia, in 2003. To date, five isotopes have been synthesized, with neutron numbers ranging from 171 to 175, and within that observed series the half-life INCREASED along with mass number. Especially in light of that real-world data, Lazar’s 1989 neutron number of 156 seemed especially implausible. His subsequent adoption of a much higher number, 184, moved his story into the neutron-rich region that nuclear theory associates with increased stability in superheavy nuclei. We should not be surprised that a scientist-impersonating serial scam artist churns out contradictory nonsense--but please, don't tell us that he has been consistent in his fabrications. Protons and neutrons aside, consider this: Bob Lazar has long claimed to have personal possession or control of a quantity of this super-powered alien substance--but in over 30 years, he has never submitted samples to independent labs. Think of that--the man has claimed to possess a gravity-defeating isotope that cannot have been made by the hand of man. This claim, if true, would constitute undeniable physical proof of alien visitation and alien technology! Why are so many expending so much energy into searching out and arguing about debatable observations and fuzzy videos, IF there is physical proof in hand? Why don't Lazar and his promoters not schedule a televised press conference next week and, in full view of the world audience, turn over slivers of the alien isotope to three independent labs, at least one foreign (in France, maybe)? If the story were true, "disclosure" would soon follow, with vindication, awards and honors for all involved, and so forth. Yes, I am aware of the assertion that somehow Lazar's control of the alien isotope has been a guarantee of his personal safety from government goons (for over 30 years!), but that is manifestly utter nonsense. If such a substance existed, any danger would attach to its continued possession, and would be obviated by its public revelation under TV lights and subsequent proof by independent analyses. At that point, the genie would be out of the bottle, the "whistleblower" vindicated and safe, with accolades and awards flowing in from across the globe. The purported alien-tech "gatekeepers" would be jumping off bridges. But that press conference and those lab analyses will never happen, because the Lazar-Knapp-Corbell "Element 115" sub-story is a gullibility test, which so many continue to flunk. Looking at you, @joerogan. But if you disagree, then it is not too late to take up the cry: Disclosure now! Free the alien isotope!

English
2
0
9
1.4K
Joe Murgia
Joe Murgia@TheUfoJoe·
Hidden Levels of Secrecy? (In 2020, as I worked on my Wilson/Davis MegBlog, I made a cold call to someone who was the executive secretary of the Special Access Program Oversight Committee in the mid-90s. Another person who held that role in 2009? General Neil McCasland, who's been missing for almost two weeks. As @MicahHanks wrote: McCasland's work, "included his role as executive secretary of the Special Access Program Oversight Committee, which supervises the nation’s most highly classified programs.") ~~~Begin paraphrased convo I had in 2020 with the man who held the same position as General McCasland. As originally written in my blog~~~ I spoke with a former military man mentioned in the Wilson/Davis documents who, in theory, also should have had access to every SAP during a specific portion of his time with the government. He 100% interacted with Admiral Wilson. He agreed to let me write about our phone call on the condition that I not name or identify him. He wouldn’t let me record the call so I took notes and typed them into my laptop as soon as I hung up. I only used a few quotes and the rest are paraphrased but accurate. My first question was, “Do you know about the Wilson/Davis documents?” He quickly responded with a terse, “No!” and I thought he was going to hang up. I asked him if he was interested in the subject of UFOs and that seemed to loosen him up. “Like many people, I had an interest in the subject since I was a child.” He believes if there was a UFO program, he and his colleagues would have found it among the various SAPs. He/they never saw anything like that. I asked him if it was possible there was a program he/they didn’t know about? He immediately contradicted himself and said yes and added that there may be levels of secrecy people don’t know about. Need-to-know is first and foremost. Without it, you can’t have access to the programs you know about and the programs you don’t know about. He once flew into Area 51 and said there was nothing unusual. He knew a civil servant who worked on Project Blue Book. He thought the person was going to tell him there was nothing to it but that’s not what happened. When I asked him if he could tell me what they told him, he said, “No. It’s been a long time. I can’t remember.” He wondered what the point was of announcing UFOs are real. What will that change? I mentioned the benefit of non-polluting technology and he was having none of it. He said, “If the U.S. has alien tech, and I’m not saying that we do, we wouldn’t share it. No country would because of the technology. You want to keep it for yourself.” He was 100% anti-Disclosure. His thoughts… Why make the knowledge that we’re not alone known to the world? What’s the motive? Who would want to do that? What’s the benefit? If an announcement was made that we’re not alone, it could upset the entire world. Religion? He’s a conservative Republican. Trump’s Roswell comment was not impressive to him. Said he watched Fox News but felt they had an agenda, too. Very skeptical that the New York Times (I brought it up) would be able to present any credible evidence on crash retrievals. Doesn’t trust the NYT and feels they’re a liberal mouthpiece. I said it won’t matter who reports the story if the military and DoD witnesses share credible stories and present solid evidence. He was skeptical but seemed to accept my point. President wouldn’t have access if this was real. Thought the Navy UAP/UFO videos were interesting but could be our black budget tech. He’s never seen a UFO. Mentioned that he knew some NASA astronauts and none of them had seen UFOs. I told him about Edgar Mitchell claiming Admiral Wilson (may have been Miller) told him he found a UFO-related SAP and was denied access. That didn’t impress him. I mentioned how some of this UFO technology may be hidden in a SAP run by a private corporation. He said that’s not how it works and proceeded to explain why. I can’t remember those details. He thinks the Roswell “craft” was a balloon and the foil material they showed didn’t look like it would come from a solid craft. (I knew enough at this point in the conversation to not bring up the theory that the actual wreckage was replaced with balloon debris). He remembered seeing the Air Force Roswell Report in 1997 and that made sense to him. Case closed! (He didn’t say Case Closed 👽  ). He twice repeated the Jules Verne quote, “Anything the mind of one man can imagine, the mind of another man can create.” The last thing he said to me was, “See the movie Paul. My wife and I watch it all the time.” I asked him if anybody else had contacted him to ask him about UFOs or the documents. He said somebody may have contacted him in the past. I took that as a yes. I asked him if I could call him to get his reaction if the New York Times publishes a story on crash retrievals. He said I could. What started off rough turned into a decent phone call and lead to me having to tell him I had to go so I could finish this blog! I forgot to ask him the most important question: Did you know Admiral Wilson and did you ever discuss SAPs while working with him? I called him again today but there was no answer. I left a message. As of now, I have not heard back from him. ~~~End Blog Excerpt~ (Who is Neil McCasland's wife? This was first looked into by @thesentinelnet and shared on here by @Go_Kick_Rocks88. I recommend you read that article, which I'll link to in the replies. It contains A LOT more details than I'm including here, along with some further speculation.) From: prabook dot com "Susan McCasland Wilkerson, American Astrophysicist. Science Talent Search honoree Westinghouse, 1971; Regents Honorarium scholar Regents of University of California, San Diego, 1973; Mission Specialist Astronaut finalist National Aeronautics and Space Administration, Johnson Manned Space Flight Center, 1980." (The most interesting find: Sentinel also pointed out that Mrs. McCasland Wilkerson had her own Google Hangout invitation to the DeLonge/Podesta meeting in 2016. She accepted. Was she just keeping track of it for her husband or was she going to be a part of whatever they had planned, which, unfortunately, was blown up when these emails leaked?) Here's part of her Facebook post from March 6th: "It is true that Neil had a brief association with the UFO community through Tom DeLonge, former frontman for Blink-182 and founder of the organization To The Stars. Neil worked with Tom for a bit shortly after his Air Force retirement as an unpaid (Neil's choice) consultant on military and technical/scientific matters to lend verisimilitude to Tom's fiction book and media activities." (Verisimilitude: the appearance of being true or real. ~Joe) "After the Russians hacked John Podesta's emails (see Neil's Wikipedia page), there was less contact with Tom and the community pushing for release of UFO information. "This connection is not a reason for someone to abduct Neil. Neil does not have any special knowledge about the ET bodies and debris from the Roswell crash stored at Wright-Patt." (Is it noteworthy why she didn't say, "Neil does not have any special knowledge about the ALLEGED/CLAIMED ET bodies and debris from the Roswell crash stored at Wright-Patt"? Maybe. Probably not.) "Though at this point with absolutely no sign of him, maybe the best hypothesis is that aliens beamed him up to the mothership. However, no sightings of a mothership hovering above the Sandia Mountains have been reported." (As others have noted, it's a little bit odd for a woman whose husband is missing, and could be deceased, to be joking like that. But, everybody handles stress, trauma, and grieves, differently. The only thing we can do right now is hope that Neil McCasland is still alive and we get to hear from him soon.) Colonel Susan McCasland Wilkerson - November 10th, 2017 - via Facebook
Joe Murgia tweet media
English
16
13
85
9.3K
miguel
miguel@mlmorris33·
That number is for alumni for the university system, not the flaghship universities. If you focus on flagship alumni, grok has the list as follows: Top 10 US flagship campuses by living alumni bases, early 2026 data: University of Michigan–Ann Arbor – 696,000 University of California, Los Angeles (UCLA) – 670,000 The Ohio State University – 630,000 University of Texas at Austin – 600,000 Purdue University–West Lafayette – 600,000 Texas A&M University–College Station – 593,000 University of California, Berkeley – 588,000 Michigan State University – 550,000 University of Wisconsin–Madison – 502,000 University of Illinois Urbana-Champaign – 500,000
English
13
4
70
16K
Stewart Mandel
Stewart Mandel@slmandel·
I was not aware until recently that Indiana has the largest living alumni base in the country (805,000). But a bunch of football stadiums are now finding that out.
English
214
769
19K
1M
miguel
miguel@mlmorris33·
ZXX
0
0
0
30
Tim Brando
Tim Brando@TimBrando·
The predictable propaganda spewed by @GregSankey before the season and @TexasFootball from @CoachSark last night was and is laughable. I discussed this weeks ago, and thankfully after flying my redeye home from Arizona, all the @espn guru’s with their “AllState Playoff Predictor” didn’t disappoint! @finebaum “Sark was eloquent last night”. @KirkHerbstreit “strength of schedule blah blah” the NEVER ENDING PURE PLAYOFF PRIVILEGE is once again on FULL DISPLAY! Other than @ESPNBooger as he was last year, seemingly is without SEC agenda’s. The rest simply take their usual marching orders. You would think 5 out of 12 teams would be enough! No, not in the IT JUST MEANS MORE League. They’ll not stop spinning yarn 🧶 until they get 6 of the 12 teams in. A lot has changed this year in CFB, sadly not this! Pure Playoff Privilege🏈🎧🎙️
English
288
274
2.5K
186.8K
miguel
miguel@mlmorris33·
@davidubben He wants to go to the NFL, so he’s trying to prove that he can throw from the pocket
English
4
0
7
4.7K
David Ubben
David Ubben@davidubben·
Avery Johnson's refusal to run is the most confounding thing I've seen in the first month of the season. Be who you are.
English
43
57
1.1K
135.9K
WHISTLEBLOWER
WHISTLEBLOWER@truthtold24·
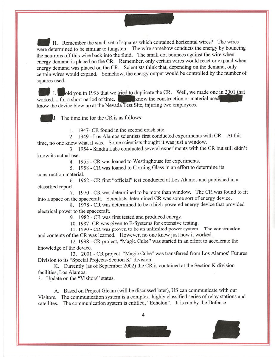
I WILL NOW RELEASE PHOTOGRAPHS OF AN OFFICIAL CLASSIFIED FILE NOT CLEARED FOR PUBLIC EYES FROM THE DIA: Certain areas were redacted before given to me, like the clearances at the top and bottom that indicate everything in between to be Classified at that specific clearance, along with a few names and additional details. If I get a fully unredacted copy in the future I will release it Here goes: Clearance: TOP SECRET: CODEWORD (T/S:CW) Time frame: Early 2000s Subject: The attempts to recreate what is known as the REAL element 115, in order to power our own version of the never-ending energy device known as a P.V.E.E.D. (particle vacuum enhanced energy device) in which I described in detail in a release I put together in the past. When you see the abbreviation CR, that stands for CRYSTAL RECTANGLE, which is a nickname for the device, just the same as when they call it the MAGIC CUBE. - This file also speaks of the species in which we received this technology from, nicknamed the EBENS which I have released the Classified Designation for already, listed as ETE-2 in separate files. - In addition to that this file also references the four species on the CBE Designation Classification (cloned biological entity) in which I have also already released the details of prior. - This file also references other highly Classified Projects and programs, related to this topic. I will not reveal how this file got out exactly, but I will say I received it through my inside contact that is connected to CIA's Classified Division known as GROUP - 6 within the Office of Scientific Intelligence. Due to only being able to put four photographs on one post, the last two pages will be attached as an immediate reply to this post. Enjoy and Discuss:
WHISTLEBLOWER tweet mediaWHISTLEBLOWER tweet mediaWHISTLEBLOWER tweet mediaWHISTLEBLOWER tweet media
English
119
203
1.3K
170.2K
American Alchemy
American Alchemy@AmericanALCHMY·
We’re HIRING for 2 roles at American Alchemy! Apply here: mike@jessemichelsmedia.com Producer - Based in Austin, TX - Full time (preferred) - Experience in podcasting, YouTube, or digital media production Videographer - Full-time / on call - Based in Austin, TX - Must be flexible to shoot on weekends Feel free to tag or share with someone great!
English
16
21
145
18.3K
miguel
miguel@mlmorris33·
@theblackvault Appreciate the response. I’m just now getting into AI myself and I know whatever you look into you’re very comprehensive. This is helpful
English
0
0
1
11
John Greenewald, Jr.
John Greenewald, Jr.@theblackvault·
Well for this specific model - I used OpenAI's ChatGPT 4o. For me personally for my normal day job away from that? I primarily use the same (as after hours of testing, it proved the most useful), but I also use Gemini from time to time, and Grok (but I trust that one the least at the moment). The most amount of time I've saved with AI is data entry. Nothing to do with The Black Vault, but for my business that involves audio technology, it's an amazing time saver for data entry on numerous levels when looking for sales leads.
English
1
0
3
183
John Greenewald, Jr.
John Greenewald, Jr.@theblackvault·
Ok, so I am going to geek out for a moment. Skip this if you don't care - but what AI can do, and the time it saves, is incredible. But I never imagined the hypothetical 'thought experiment' UFO organization I had AI create the other day, would also usher in a chat bot that would utilize the ideals of this hypothetical organization, then offer translation based on those ideals, and help deep diving into certain things you ask it. Let me preface with: AI isn't everything. It's not the end all be all (yet? 🤭) but it is an amazing research tool and one you can bounce ideas off of. For example, the video that went viral yesterday: "Our technologies permit us to manipulate time and space. They leave distance annihilated..." by Director of White House Office of Science & Technology Policy, Michael Kratsios. So many people thought he meant one thing, when he likely meant another. So, I fed in entire context of the quote, and asked the SETA AI bot to interpret it without leading text. It said this (cont) 👇
English
17
12
113
20.3K
American Alchemy
American Alchemy@AmericanALCHMY·
Which guest(s) would you love to see on American Alchemy?
English
420
9
207
40.6K
Jesse Michels
Jesse Michels@AlchemyAmerican·
Who should I interview next?
English
1.1K
18
602
119.6K
miguel
miguel@mlmorris33·
@LueElizondo Why do you wear a hat when you have a full head of hair?
English
0
0
0
6
Lue Elizondo
Lue Elizondo@LueElizondo·
I’m backstage here at one of my favorite cities, Chicago, and got a bit of time to take any questions! And GO!
English
459
41
982
217.2K
miguel
miguel@mlmorris33·
@BillyKryzak Can you do a similar analysis to gauge the size of the coffin?
English
0
0
1
323
ProPixel Video Analysis and Research
Analysis on the 4chan egg release today. Very low data zone with this one. I'm really hoping for input from the crowd on what i see/say here. As of now, this is interesting, but I'm putting it on the shelf for reference waiting for something else to come up that raises the confidence level on this one.
English
25
29
346
27.4K
miguel
miguel@mlmorris33·
@MiddleOfMayhem Why does one have a red light underneath while the other doesn’t? Why do similar alleged plane mimics also have this red light underneath while known planes don’t?
English
0
0
0
22
Steven Greenstreet 🐷
Steven Greenstreet 🐷@MiddleOfMayhem·
LEFT: A spooky "mystery drone" or alien UFO according to frightened New Jersey citizens (and the mainstream news media) RIGHT: AW139 T7-LSS helicopter Why is no authority stepping in to quell this mass hysteria?
Steven Greenstreet 🐷 tweet media
English
248
120
976
163.6K
miguel
miguel@mlmorris33·
@MiddleOfMayhem I’m sure they have prosaic explanations ready to go but it’s Friday night so let’s wait until Mon…I mean Thursday
English
0
0
0
141
Steven Greenstreet 🐷
Steven Greenstreet 🐷@MiddleOfMayhem·
I contacted the FAA regarding the ongoing sightings of "mystery drones" in northern New Jersey. I sent them 5 simple, specific questions. They answered none of them. Instead, they sent a useless boilerplate response and then did not respond to my follow up.
English
62
11
193
23.1K