Chococopter Patt

31 posts

Chococopter Patt

Chococopter Patt

@ChococopterP

Disk go brdd

Katılım Haziran 2022
16 Takip Edilen25 Takipçiler
Fanatical
Fanatical@Fanatical·
🎉 Are you itching to go out and hunt the bigger, scarier, and more intelligent monsters in the latest addition to Capcom's franchise, Monster Hunter Wilds Premium Deluxe Edition? We've got good news for you! For every 500 retweets, we'll select a new winner until it totals three (1,500)! All you have to do is: ⇒ Give us a snippet of your Hunter's backstory in the comments OR tell us about what weapon you'll main if you win! ⇒ Follow us! ⇒ Like & retweet! Good luck to everyone!
Fanatical tweet media
English
969
1.3K
1.6K
84.7K
Chococopter Patt
Chococopter Patt@ChococopterP·
@Fanatical Me and my dad started playing mh back when the wii u came out, and fully got into it with world, now we've been hoping to play this one
English
0
0
0
10
Bael ⛧
Bael ⛧@evilbael·
unmuted sleep calls are healthy for you btw.
English
18
382
2.3K
101K
Chococopter Patt
Chococopter Patt@ChococopterP·
@bakooljaja Happy birthday I hope you have a wonderful year and many more Bakool Ja Ja experiences
English
0
0
1
76
rynn rocket 🚀
rynn rocket 🚀@bakooljaja·
idk if you realize that you guys have given me the best birthday gift i could ask for and its not even until tomorrow!!! like where can i possibly go from here. tomorrow is a flop now i dont even need it. this is incredible. i could cry. i love yall and i love bakool ja ja
English
35
29
1.3K
55.2K
Chococopter Patt
Chococopter Patt@ChococopterP·
@PlayWarframe @PabloMakes This change is awful, like you can only tragedy enemies you or your team mates have procc'ed, meaning that at some point you had to have LoS and done setup before casting, and without it dealt nothing, don't listen to people that haven't played him
Chococopter Patt tweet media
English
0
0
1
4
Chococopter Patt
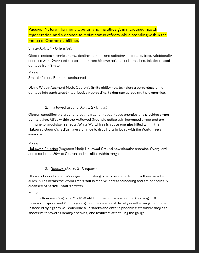
Chococopter Patt@ChococopterP·
@PabloMakes I've been thinking but right now Oberon feels extremely out of place, and outdated this are the changes I am Imagining (re-posting because I sent the wrong images)
Chococopter Patt tweet mediaChococopter Patt tweet media
English
0
0
0
5
Chococopter Patt
Chococopter Patt@ChococopterP·
@RiotSupport Another account banned due to someone else attempting to get access, first one I spent weeks receiving daily password reset request and then got told I did a chargeback I did not and this one got suspended due to "suspicious activities" money down the drain
English
8
0
1
130
Chococopter Patt
Chococopter Patt@ChococopterP·
@thegameawards @gleamapp Still disappointed that I couldn't join the steam decks giveaway due to a technical issue 41 minute waiting time for over 2 hours GGs
English
0
0
0
296
Chococopter Patt
Chococopter Patt@ChococopterP·
@UbisoftSupport played a game against 3 cheaters and 2 racist people with nude/nsfw pics, interesting start to the day don't know how n.@@@ is not a banned word all playing together as admited by YowMean who has a naked guy as a pfp
Chococopter Patt tweet media
English
0
0
1
140