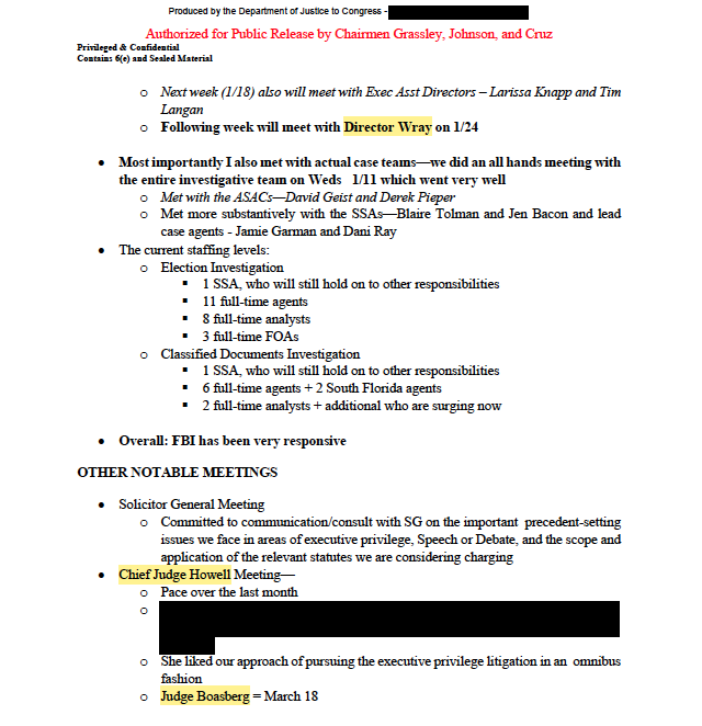
Tracy Stover retweetledi

I just released nearly 2,000 pages of @HHSgov records showing the Biden administration’s failure to immediately warn the public about a serious safety concern linked to the Pfizer COVID-19 booster that they discovered as early as Nov. 2022.
Below is a clip from a Jan. 2023 HHS “communications plan” with edits from Biden officials downplaying the significance of the ischemic stroke safety signal.

English























