Sajeevee Sarathchandra
34 posts

Sajeevee Sarathchandra
@SSajeevee
PhD in soil science and plant nutrition
Perth, Western Australia Katılım Eylül 2021
123 Takip Edilen64 Takipçiler

Ninety-nine problems, but is your lab one? Can you spot the lab hazard in today's picture? Comment your answer below and check back later today to learn the answer! #ASMClinMicro #LabWeek #Lab4Life

English
Sajeevee Sarathchandra retweetledi

This October there are two great soil events on one day in NSW:
➡ Sequestering Soil Carbon – 13 Oct 2023
➡ NSW Annual Harald Jensen Lecture – 13 Oct 2023
To book and see all upcoming events head to our website:
soilscienceaustralia.org.au/events/

English
Sajeevee Sarathchandra retweetledi
Sajeevee Sarathchandra retweetledi
Sajeevee Sarathchandra retweetledi

I am looking for an Early Career Researcher interested in quantitative analyses in ecology and conservation. The incumbent will help me in the @BiodiversaPlus funded @INSPIRE_Biodiv project. iiasa.ac.at/employment/job…
@IIASAVienna @bec_iiasa #job #conservation #phdchat #ecology #gis
English

@TakiGolam @talitha_santini @PaulineGrierso1 @Grace_SDean @heab @Daniel_V_Murphy @ausynchrotron @AINSE_Ltd Congratulations on your achievement 👏
English

I am happy to share that first chapter of my PhD just published! Thanks to all co-authors @talitha_santini @PaulineGrierso1 @Grace_SDean @heab @Daniel_V_Murphy and @ausynchrotron @AINSE_Ltd
English
Sajeevee Sarathchandra retweetledi

Are you curious about the economic impact of dung beetles in Aus? 💩 What about disease resistance in #canola 💛 stress & salt tolerance in #wheat 🌾 or 🐏 reproduction? All this & more to be explored at @IOA_UWA's 2023 Postgraduate Showcase on 31 May! eventbrite.com.au/e/2023-postgra…
English
Sajeevee Sarathchandra retweetledi

We have hand-picked 7 outstanding PhD students from across 3 UWA schools – @JunreyAmas, @samalkawijeweer, Sylvester A Obeng-Darko, Doraid Alkhishaybi, Bablu Hira Mandal, Marcela Del Carmen Vieira & @Ch_Mukesh_1989 – to present their @UWAresearch achievements in #agriculture.

English
Sajeevee Sarathchandra retweetledi

Applications are now open for our First Nations Higher Degree by Research (HDR) top-up scholarships!
Applications for mid-year 2023 entry close on Wednesday, May 10, 2023.
For more information, follow the link below.
bit.ly/3ZRFfJs

English
Sajeevee Sarathchandra retweetledi

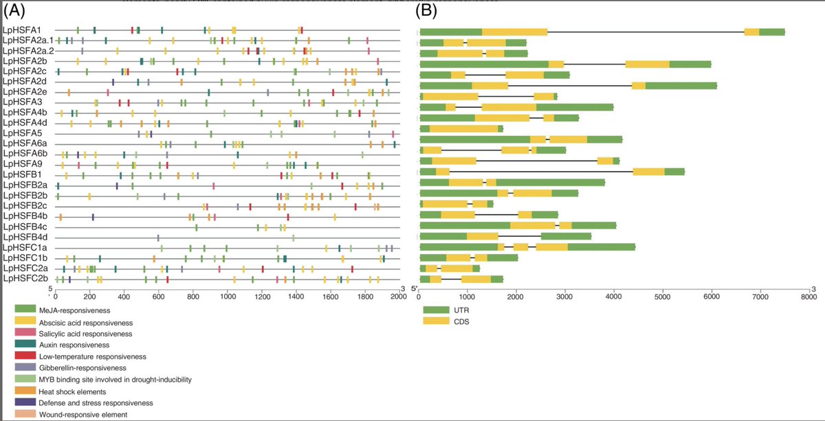
How about HSF in perennial ryegrass?
The authors analyzed the genome and transcriptome data of perennial ryegrass to identify and classify HSF family members systematically.
bit.ly/401f7fX
#Plantci #Plantscience #ryegrass

English

@IOA_UWA @UWAresearch @bedemickan @SAgE_UWA @Richgro_Garden @uwanews @KadambotS @UWAsoils @OAE_SoilHealth @SoilsAdvocate @perth_meso_dr @JamesFogartyUWA @soilhealth Congratulations 🎊
English

Shout-out to @UWAresearch-er Dr @bedemickan for receiving the @SAgE_UWA 2022 Outstanding Contributions to Student Learning Award! 🎉 Find out more about microbial generalist Dr Mickan's research outcomes with @Richgro_Garden and @uwanews here: research-repository.uwa.edu.au/en/persons/bed… #uwanews

English

After two years of postponements we have finally made it to Singapore for the World Aquaculture conference! #WA2022 @Katarina_Helena

English
Sajeevee Sarathchandra retweetledi
Sajeevee Sarathchandra retweetledi

Webinar alert! Friday Nov 18th at 11 am
Join Dr. Craig Liddicoat (@CraigLiddicoat ) from @Flinders to learn more about Soil Microbiomes!
Registe below: 👇🦠
us02web.zoom.us/webinar/regist…

English

Are you a student who’s interested in a career in microbiology?
Or are you an educator who’d like to have a scientist chat with your class about microbiology careers?
If so, I’ve got the perfect webinar for you!
Click below to learn more and sign up!
joyfulmicrobe.com/microbiology-c…
English

@justineldees Hi Justine, at what time you.ll be starting from Australasia time, how many hours and enrolling fee if it is there? Thanks
English

Dr Page was announced today as the UWA School of Allied Health Early Career Researcher award. She was awarded her PhD in October 2017. She has published 65 papers, and her research has been covered in newspapers, radio, podcasts and TV <100 times.
Congratulations @AmyTPage

English










