
Arun Natarajan
14 posts

Arun Natarajan
@anrfic
Design and do research on analog and RF hardware.





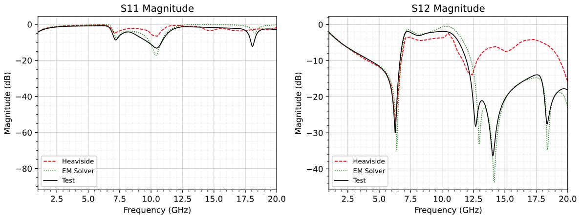
Today, we're announcing Heaviside, our foundation model for electromagnetism. Trained on tens of millions of designs and over 20 years of proprietary simulation data, Heaviside predicts electromagnetic behavior from geometry in 13ms, which is 800,000x faster than a commercial solver. Heaviside is not a language model, and it’s not a surrogate model. Heaviside marks a new class of foundation model for physics which understands the fundamental relationships between materials, the geometries and the electromagnetic fields they generate. We’re releasing a research preview of Heaviside in Atlas RF Studio, an interactive agentic sandbox where you describe the EM behavior you want and the model generates the physical structure that produces it. @arenaphysica , we believe the implications of this class of model extend well beyond RF, as the frontier of exquisite hardware is electromagnetically-governed: wireless communication, radar, power delivery, high-speed computing, and the interconnects inside every chip on earth. In the months ahead, we’re excited to scale up Heaviside to broader frequency ranges, design spaces, and to support silicon-level designs, and deploy it with our closest partners and collaborators in service of their biggest design challenges. If you’ve read our thesis, this is just Step 2 in our pursuit of electromagnetic superintelligence. Read the full announcement and try Atlas RF Studio…tell us what you think: arenaphysica.com/publications/r…


this reminds me so much of the 1996 experiment at university of sussex where algos were used to design circuitry that resulted in electromagnetic coupling that no human engineers would ever have intentionally been able to invent... these design(s) exploited electromagnetic quirks of the specific microchip environment created, resulting in extreme efficiency but also unexplainable "weirdness"... EMI effects between unconnected logic units, operation of transistors outside their saturation region, and feedback loops i'm curious if simliar "weirdness" is being observed in these designs? damninteresting.com/on-the-origin-…

























