Geoffrey Millar
2.3K posts

Geoffrey Millar
@geoffmillar
Senior Business Systems Analyst
Salem, MA Katılım Mart 2009
764 Takip Edilen212 Takipçiler

@Savageboston Came here to whine about this, but you owned it. Now what can I bitch about?
English

Boston reporter Michael Holley on the Mike Vrabel / Diana Russini situation:
🎥: @NBCSBoston
“I talked to a former (Patriots) player and he said “the hell they won’t want answers. You think Mike Vrabel can just brush this under the rug without talking to the players? Coaching don’t treat us like they treat the media.”…I think Vrabel will have to say something to his team…I think he’s gonna have to answer to something that’s been in the news for a while…for his credibility he’s gonna have to say something to the team.”
English

@grok @ronportnoir @kaitlancollins Sorry @grok, but this is absolutely a current post on Donald Trump's Truth Social.
English

No, this isn't a real post from Trump.
Searches of realDonaldTrump's X account turn up zero matches for the text, phrasing, or details like "Power Plant Day" or "Bridge Day." His style and platforms (primarily Truth Social) don't align with this crude, out-of-character rant ending in "Praise be to Allah."
It's a fake screenshot, likely satirical or AI-generated amid current Iran tensions.
English

@KyleSharkey8 @suspiciousauce What a strange coincidence that self professed government agent Kate Peter get a Judge with the same name as Morrissey’s bottom bitch for 30 years, Lynn Beland!👌

English

CW v “Krusty Panties”
9am
Attleboro District Court
Zoom-161 7558 1122
No passcode
(Note-there are about 30 other cases at 9am if feel like waiting)
@suspiciousauce

English

@DanKelley66 Dre'mont Jones played 9 games with Tennessee last season, while Vrabel was in New England. Familiarity?
English
Geoffrey Millar retweetledi

@WhinyWrestling @Savageboston Sure, very unlikely. I don't trust us to draft well at WR at all. There are plenty of needs. You're also going to pay #31 less over 4 years than AJ Brown makes this season.
English

@Savageboston Yall saying no, do realize that you won’t draft an AJ Brown at 31?
English

@CFBGuy999 I was closer to him on that run than most of the defense and I was in the 15th row.
English

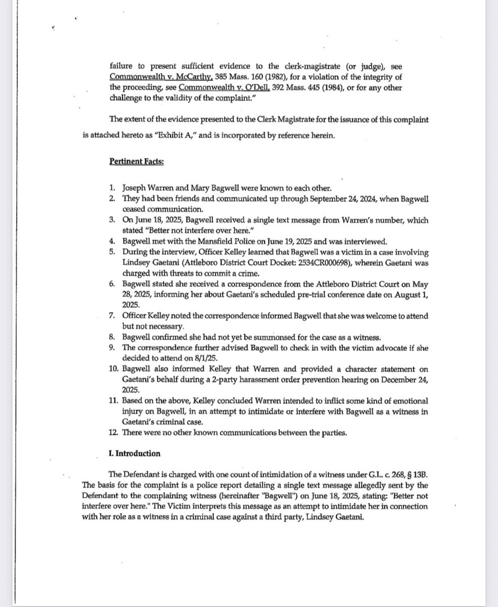
CW vs Joseph Warren
MOTION TO DISMISS COMPLAINT FOR LACK OF PROBABLE CAUSE WITH INCORPORATED MEMORANDUM
@suspiciousauce
@DoctorTurtleboy
More pages in comments



English

@GlammaSooz @GovKemp I don't disagree. I don't think either was enough.
English

@geoffmillar @GovKemp I think there was a lot more to put the ex-bf on trial.
English

Glad to see that at long last, justice has been secured for Tara Baker, for her incredibly brave family and friends who have endured decades of suffering, and for the UGA community that Tara loved. May her memory continue to inspire and strengthen other families searching for hope.
wsbtv.com/news/local/cla…
English

@GlammaSooz @GovKemp I don’t think there was enough proof to put anyone on trial.
English

@GovKemp The world saw an old-fashioned lynching in Georgia.
There is ZERO evidence that he even knew Tara as the swabs were not tested until AFTER they had his DNA.
There was no sperm
Chris Melton is the person who should have been on trial.
English

@lauriemullenesq @LorenKatie @MazzaMedia To be fair, Andover and Methuen (where her mom is) are both a few minutes from, Lawrence, but 45 from Salem.
English

Are we still supposed to believe that Judge KMN was “scheduled to sit in another session”? Looks more like Kelsey was moved to a different session. All remaining dates for Kelsey have been rescheduled to Lawrence Superior. 👀 #justiceforKelsey @LorenKatie @MazzaMedia @BrittHapp3ns


Kyle Sharkey@KyleSharkey8
CW vs Kelsey Fitzsimmons Case sent to Essex Superior LAWRENCE Location. @suspiciousauce @lauriemullenesq @MazzaMedia
English

If you don’t think Judge Bev tried her best to tip the scales of justice after this side bar then something is wrong with you.
Hank: I’d like to be seen. Objection.
Bev: Jurors, disregard Mr. Jackson. Get your asses up here counsel. 😠
Hank: Your honor this is deliberate. You just told him he couldn’t talk about all that suspicious stuff & here he is doing it anyway! It’s UNFAIR & he’s been doing it all trial long. The things he’s eliciting from my witness is so bad that it can’t be fixed with one of your long drawn out instructions. We all know the jurors don’t listen to them. It’s forcing me to object constantly. IT HAS TO STOP!
@BostonDefender: Can you lower your voice pal?! The whole courtroom is staring at us.
Hank: No! I won’t lower my voice and judge before Mr. Jackson gets up and starts making his argument just remember how mad I am right now! He’s making me look bad bc I’m clearly trying to hide things to protect these guys. It’s UNFAIR! 😡
AJ: Well, that’s simply false. I asked the exact ?’s your honor told me I could ask. This “detective” clams he’s unaware of the nefarious call. It’s 💯 relevant! Both of these men conveniently destroyed their phones AFTER this man’s subordinate, Proctor, served them with the preservation order. I take offense to Hank suggesting I did anything out of bounds.
Hank: That’s not my problem. Tell him judge.
Bev: Please stop…. you’re making a mockery of my courtroom. Now Hank is really upset so I’m gonna disagree with you here Mr. Jackson. He may just blow a gasket. Don’t do it again!
AJ: This goes to the biased mindset of this officer judge. For heavens sake, Higgins didn’t just toss his phone, he took the sim card out and destroyed at a military base and you want me to hide that from the jury?!
Bev: Not my problem. You want it in, you call them as a witness like Hanky said.
AJ: I don’t have to….
Bev: That’s all…Let’s move along.
AJ: I’m gonna finish making my record bc one day people will have a chance to read these side bars and know just how bad you were. (thanks @Marbury_v_Mad 😉)
I’m trying to defend a murder charge here.
Bev: Simple solution it seems would be calling Proctor.
AJ: Listen here, I will NOT be forced to call anyone to the stand. Not by you and certainly not by Hank.
Bev: That’s my ruling. Your rights are saved.




English
Geoffrey Millar retweetledi

It’s important that you understand what happened last night.
Last night, Stephen Colbert interviewed Democratic Texas Senate candidate James Talarico, a candidate who, by all accounts, is on track in the polls to flip Texas blue.
In response, Trump’s FCC reportedly threatened CBS if the interview aired.
CBS caved and pulled the segment, citing “financial reasons.”
In modern American history, no president has been more hostile to free speech than Donald Trump.
But censorship always backfires.
Here’s the full segment Trump didn’t want you to see.
English

Do you think the #Patriots should make this trade @CBSSports suggested?
New England Receives:
🔹WR AJ Brown
Philadelphia Receives:
🦅 2026 Third-Round Pick (No. 95)
🦅 2026 Fifth-Round Pick (No. 169)

English

@GlammaSooz When you don’t name names or enter an appearance, you don’t got nobody.
English

They could not find someone to prosecute the 2024 case but they have someone who might do more than cross examine Lindsey?
What additional duties? This seems to be more sandbagging by Norfolk County.
Didi@suspiciousauce
CW v. Aidan Kearney response to courts interim order re: motion to disqualify
English

@mvpbrown Versus expectations? 11/10. No question. Ahead of schedule.
English

@huskyjayhawk @SavageSports_ We play one AFC division and one NFC division every year. Steelers and Jax as the other AFC division winners (same place as us), and one NFC division winner (Seattle) as the 17th game.
English

@SavageSports_ Why the hell do we play the entire AFC West? That is weird.
English

@KyleSharkey8 @suspiciousauce @lauriemullenesq @MazzaMedia She was scheduled in another session when she handled the hearings she did.
English

CW vs Kelsey Fitzsimmons
BREAKING‼️
-DENIED AS MOOT. The judge is scheduled to sit in another session during the period of the remaining pre-trial and trial of this case. @suspiciousauce
@lauriemullenesq
@MazzaMedia

English








