
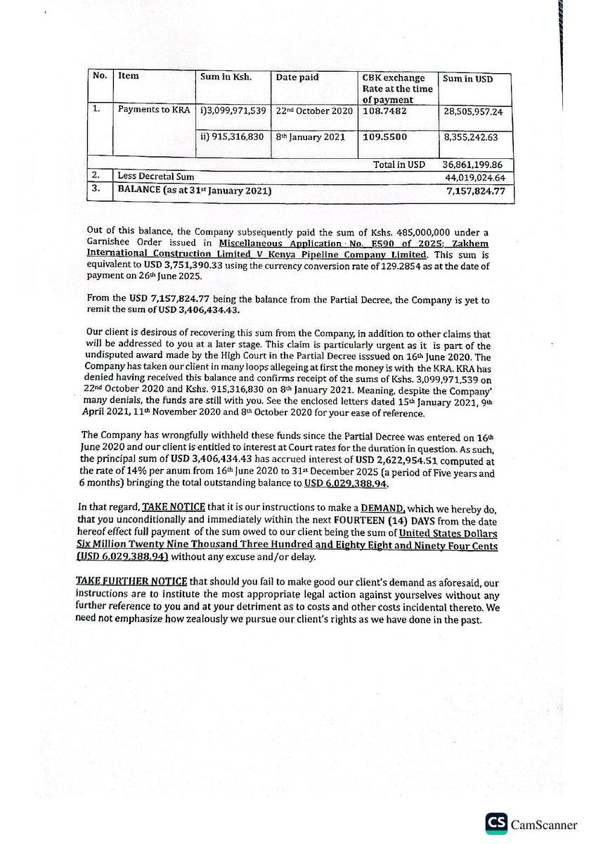
Kevin Orango
6.4K posts

Kevin Orango
@kevorango
Husband|Father|Teacher|Writer| Interests: Banking, FinTech, Recreational Politics,Football, Machines and Things.


"money can't buy happiness" meanwhile money:












All buses, trains, and trams are free in this country. For everyone! Luxembourg is unreal. When will your country have this?









France 🇫🇷 cancels South Africa's 🇿🇦 invitation to the forthcoming G7 Summit and invites Kenya 🇰🇪, whose leadership has been a western puppet, to the event. Here's why this matters.



Some other car hire guys showed me a movie bruh. I hired a prado @ 16.5k for two days in Dec. Its delivered at 8:30 pm on Friday. Next day when I needed to use it at 8:30 am, they switched it off remotely using the tracker. They feigned not knowing what's happening until 4:30pm, then they switched it back on. Fast forward to Sunday evening, they refuse to add me time and in fact demanded that I drive the car to the next customer at Nation Centre at 6:00pm. That chic ain't never getting business from me again, ever.


JSC SHORTLISTS Justices Joseph Sergon, Katwa Kigen, Mohammed Warsame, Francis Tuiyott and Senior Counsel Anne Makori for Supreme Court judge role; interviews set for April 28–29. zurl.co/VGwmQ












