Krishnendu

705 posts

Krishnendu

Krishnendu

@krishthehuman

Humane first

Katılım Nisan 2021
76 Takip Edilen11 Takipçiler
Krishnendu
Krishnendu@krishthehuman·
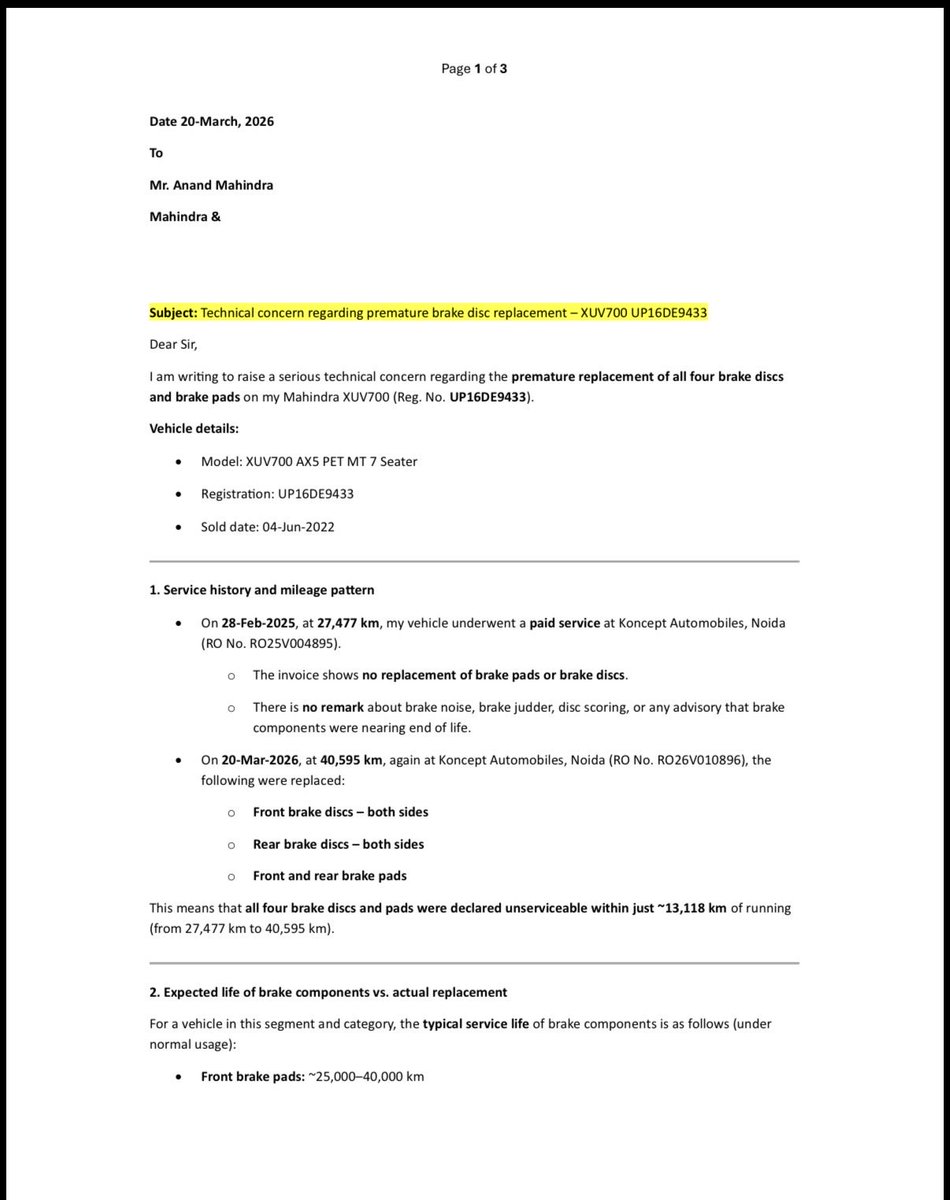
@anandmahindra @KonceptMahindra @MahindraRise This is a request to look into Mahindra XUV 700 parts and service discrepancy. I have a complain with technical arguments which I would like to see the arguments from your company before legal actions ifany
Krishnendu tweet mediaKrishnendu tweet mediaKrishnendu tweet media
English
1
0
0
19
Krishnendu
Krishnendu@krishthehuman·
@noida_authority @dmgbnagar many new lamp post lights are out of order for 15 days. 2 are broken by vehicles parked unauthorised. VedvanPark Sec 78
Krishnendu tweet mediaKrishnendu tweet media
Krishnendu tweet media
English
1
2
0
49
Krishnendu
Krishnendu@krishthehuman·
@noida_authority @Noidatraffic @CP_Noida @CMOfficeUP @myogiadityanath फोटो में २ ब्यक्ति को देखे । वेदवन के सांबे वेंडर हटाने की raid के पहले ये दोनों आके वेंडर को इक़तला कर रहे है - वाग जाओ , गाड़ी आने वाली है । सीसीटीवी फुटेज चाहिए ? यह पैसे खाते है वेंडर से 17:45hrs08-Apr-2026
Krishnendu tweet mediaKrishnendu tweet mediaKrishnendu tweet media
हिन्दी
0
0
0
14
Krishnendu
Krishnendu@krishthehuman·
@DineshKarthik While commentating, please adde practice brevity. Ur analysis is good. Too much words, makes it irritating. Radio commentary is different from TV commentary. @T20WCup @JioHotstar
English
0
0
0
22
Krishnendu retweetledi
Windsor Court Welfare Association
Windsor Court Welfare Association@OfficialWcwa·
@noida_authority @CeoNoida @ChiefSecyUP @CMOfficeUP @dmgbnagar @dr_maheshsharma @InfoDeptUP @myogiadityanath @NandiGuptaBJP @UPGovt @PankajSinghBJP Kindly remove the encroachment made by roadside vendors around Ved Van Park and the group housing project Assotech Windsor Court, Sector 78. Unauthorized occupation is causing congestion, hygiene concerns, and inconvenience to residents and commuters. @noidapolice #UPCM
Windsor Court Welfare Association tweet media
English
0
12
2
222
Krishnendu
Krishnendu@krishthehuman·
@noidapolice @DelhiPolice @Noidatraffic This was on Kalindi Kunj Bridge on Noida side going towards Delhi. Isnt having. CASTE written in car illegal ? Car had GURJAR written on back windshield it. Date : 13/02/2026. Bridge Kalindi Kunj Noida. Should be fined
Krishnendu tweet mediaKrishnendu tweet media
English
0
0
1
32
Krishnendu
Krishnendu@krishthehuman·
@maxhospital1 @PMOIndia Jaypee B max Sr. Director Dental us absent and not seen me but juniors are stamping signing on behalf of him and checking. Shocking.
Krishnendu tweet media
English
0
0
0
9
Krishnendu retweetledi
Krishnendu
Krishnendu@krishthehuman·
@anandmahindra Dear Sir Inworked for Mahindra Co 20 years back. Last 5 years I am struggling to get in touch with right person in Mahindra to enquire about my PF. Can you pls help.
English
0
0
0
5