Matt Young

385 posts

Matt Young banner
Matt Young

Matt Young

@wrongkindadoc

Public administration & management, innovation, tech, & service delivery @PA_UniLeiden/@DigGov_PA_LU. Twitter esse delendam. Corporate internet is brain poison.

Katılım Ekim 2020
373 Takip Edilen263 Takipçiler
Matt Young
Matt Young@wrongkindadoc·
@bigkiitten shit, give me a deep state that is going around engineering all viruses to be harmless. a public health deep state. haha why not
English
0
0
4
350
Matt Young
Matt Young@wrongkindadoc·
@DToshkov ooh, now that right there is top-flight directions for future research / arguments for access to restricted data to dig deeper!
English
0
0
0
10
Dimiter Toshkov
Dimiter Toshkov@DToshkov·
@wrongkindadoc My hypothesis for the CEE puzzle is that it has to do with CEE immigrants leaving the NL for their countries of origin (and some dying there) without de-registering from the population register in NL. This is just a hypothesis - we couldn't test it directly in this paper.
English
1
0
1
17
Dimiter Toshkov
Dimiter Toshkov@DToshkov·
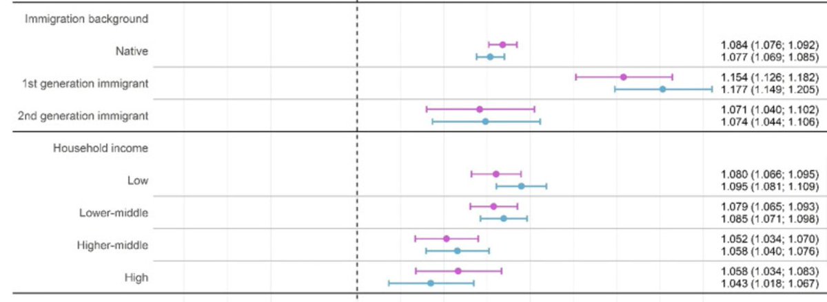
Remember #COVID-19? We have a new article estimating excess mortality in The Netherlands based on register data from @statistiekcbs. Overall, we find 8.9% excess deaths in 2020, 8.5% in 2021. However, for first generation immigrants, excess mortality was much higher: 15% -18%.
Dimiter Toshkov tweet media
English
1
1
6
697
Matt Young
Matt Young@wrongkindadoc·
@DToshkov but I also agree there's more variation in your analysis than my off-the-cuff hypothesis can explain :). For the record, this is very cool work!
English
1
0
0
16
Dimiter Toshkov
Dimiter Toshkov@DToshkov·
@wrongkindadoc not implausible, but the models already control for sex, age, and household income, which should proxy to a considerable extent the effect of occupation as well. And then there are still the differences between 1st and 2nd generation, and across countries of origin ...
English
2
0
1
35
Matt Young
Matt Young@wrongkindadoc·
@DToshkov Without access to micro dutch labor data I can only speculate, but all of those are poor proxies for the variation of effect that comes with exposure to aerosolized viruses. I know people in construction here that make far more than I do. I teach sick students; they work outdoors
English
0
0
0
7
Matt Young
Matt Young@wrongkindadoc·
@DToshkov And there's evidence suggesting that cumulative infections produce nonlinear risks of vascular, endothelial, multisystemic organ, and other damages that would contribute in aggregate to excess mortality.
English
0
0
1
6
Matt Young
Matt Young@wrongkindadoc·
@DToshkov Realistically, everyone had been exposed multiple times by the end of your observation period. But the rate of reexposure is conditional on behavior, and whether you spend your working day e.g., in a classroom with sick kids or working from home or working outdoors matters.
English
2
0
0
29
Matt Young
Matt Young@wrongkindadoc·
I've no idea how I was lucky enough to last until today before realizing they've coined 'Chief Academic Officer' for what just could continue to be called 'Provost,' but my luck ran out and now I get to die more inside.
English
0
0
2
141
Matt Young
Matt Young@wrongkindadoc·
@arthur_spirling @OleHelby counterpoint: it's good to care, actually, and authors should write their own articles and get out of the game and run wild with token predictors on substack if that's too much to ask.
English
1
0
1
78
Arthur Spirling
Arthur Spirling@arthur_spirling·
@OleHelby TBC, I don't do it, but as a philosophical matter I don't think it's obviously cheating or dishonest. Or rather, I think this is going to a big issue going forward and we ultimately won't care (subject to forcing people to take responsibility for everything they submit)
English
1
0
1
164
Ole Helby Petersen
Ole Helby Petersen@OleHelby·
You should not use AI for producing your papers!!!! We are seeing more of this submitted to JPART and only find it because we read each and every submission whether it's send for review or desk rejected. Just had a case where a paper hallucinated references not existing. Stop!
English
2
16
60
7.2K
Matt Young retweetledi
Havoc
Havoc@Havoc_Six·
Ea-Nasir strikes again. He is eternal.
Havoc tweet media
English
84
1.6K
17K
392.8K
Matt Young retweetledi
Jack Shane
Jack Shane@Jack_shane2·
What to expect when you are expecting
Jack Shane tweet media
English
18
270
3K
169K
Matt Young retweetledi
Julián Villodre
Julián Villodre@VillodreJulian·
Happy to share my new article published at International Review of Administrative Sciences @IIAS_IISA: "A three-model approach to understand social media-mediated transparency in public administrations" Available with open-access (online first): doi.org/10.1177/002085…
Julián Villodre tweet media
English
5
12
42
2.1K
Matt Young
Matt Young@wrongkindadoc·
Retrievers are the libertarianest of dogs. They claim to want to work, but will gladly take handouts. They completely fail to understand how utility really works and will literally eat themselves to death and/or steal the food of all their friends without thought of consequence.
English
0
0
0
74