Prof Kausik Ray FMedSci
5.8K posts

Prof Kausik Ray FMedSci
@ProfKausikRay
Immediate Past President EAS, Professor of Public Health, Imperial College London. Cardiologist focusing on preventing coronary artery disease
London, England Katılım Şubat 2018
1.1K Takip Edilen6.2K Takipçiler

Looking forward to also seeing the insightful editorial accompanying The great work of @ProfKausikRay & his all-star team! @khurramn1 @AJPCardio
Prof Kausik Ray FMedSci@ProfKausikRay
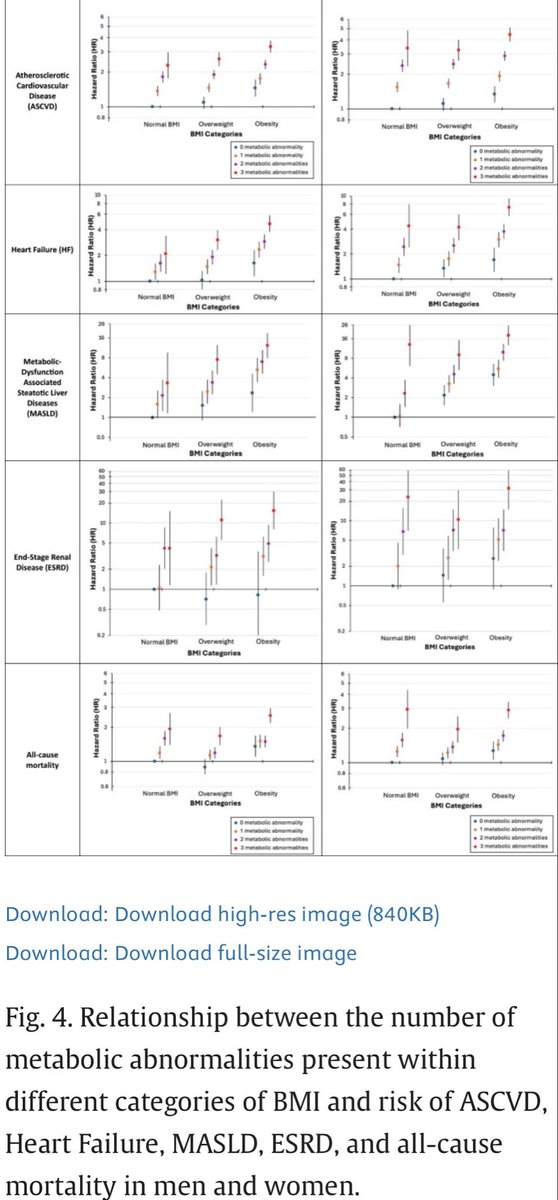
Trial evidence from 17 trials in people without ASCVD including statins and non statins in 105 000 individuals about why you get a bigger benefit from starting prevention early . AJPC open access
English

@DrDerekConnolly @ProfSNicholls @BenjaminLOakes @scribetx @EASCongress @society_eas Or epigenetics even :-)
English

Epidemics has arrived to reduce LDL permanently but reversibly
Brilliant presentation by Ben Oakes
@ProfKausikRay @ProfSNicholls @BenjaminLOakes @scribetx @EASCongress @society_eas

English
Prof Kausik Ray FMedSci retweetledi

A very important paper from @ProfKausikRay et al
Lower-risk 1y prevention populations derive greater relative benefits per 1mmol/L LDL-C lowering. higher-risk populations get less benefit per 1mmol/L LDL-C lowering & need greater absolute LDL reduction
pdf.sciencedirectassets.com/777610/AIP/1-s…
English
Prof Kausik Ray FMedSci retweetledi

Now @ProfKausikRay “focus on the journey and the destination takes care of itself”
@EASCongress
#EASCongress2026


English
Prof Kausik Ray FMedSci retweetledi

#EASCongress2026. A master class talk by @ProfKausikRay on combination drug therapy for lipid lowering. Highlighted concept of “time” and “just doing it” when approaching treatment of atherosclerosis. Start early and overcome clinical inertia.




English
Prof Kausik Ray FMedSci retweetledi

“The higher the risk, the greater the LDL-C reduction required.”
Excellent presentation by Kausik Ray at the NLA–EAS Joint Session on Primary Prevention.
A key message: while the relative benefit of LDL-C lowering may attenuate as baseline risk increases, achieving meaningful absolute risk reduction requires progressively larger LDL-C reductions.
🔹 Earlier intervention
🔹 Lower LDL-C levels
🔹 Combination therapy when needed
🔹 Better implementation of guideline recommendations
In lipid management, intensity should match risk.
@society_eas
@ProfKausikRay
@nationallipid

English

Our paper EHJ. In ~ 3k Japanese pts ldl-c <55 mg/dl attenuated risk of MACE in those with high LPa. However residual risk still present hence lowering LPa is an unmet need. The risk goes up at 30mg/dl so lower than other groups
academic.oup.com/eurheartj/adva…
English

Here’s the full paper
RCT evidence for early lipid lowering
kwnsfk27.r.eu-west-1.awstrack.me/L0/https:%2F%2…
English
Prof Kausik Ray FMedSci retweetledi

Fantastic session at European Atherosclerosis Society with amazing faculty and great questions
@ProfKausikRay @ProfSNicholls @DaniloNorata @EASCongress @society_eas @PCCS_UK @escardio

English
Prof Kausik Ray FMedSci retweetledi
Prof Kausik Ray FMedSci retweetledi

Quote of the day from #EASCongress2026:
“There is no single right or wrong way — that is the art of medicine.” @ProfKausikRay #EASSome

English
Prof Kausik Ray FMedSci retweetledi

Chronic #inflammation is a key driver of ASCVD, even when LDL-C is controlled.
At @NodThera, #ruvonoflast showed sustained reductions in inflammatory biomarkers linked to cardiovascular risk.
Ahead of #EASCongress2026 @society_eas, we’re sharing perspectives from @ProfKausikRay
English

@SABOURETCardio Well you should see out simultaneous publication and poster . :-)
English

#MyEAS2026 a topic to discuss with @ProfKausikRay during the congress : what are the differences in Lpa) values according to ethnicity? Is there a clinical impact?
ajconline.org/article/S0002-…
English

Our state of the art paper on lipid management in cancer
Open access EHJ
doi.org/10.1093/eurhea…



English
Prof Kausik Ray FMedSci retweetledi

NodThera will present late‑breaking data at #EASCongress2026 in Athens.
@profkausikray will share clinical findings on #ruvonoflast, our lead oral #NLRP3 inhibitor, joined by CMO @drjtgeorge.
Meet us May 26.
nodthera.com/news/nodthera-…

English

@LpaForum @imperialcollege This was work by Christophe Stevens as part of his PhD. Assisted by @fotisbarkas and Julia Brandts in my group
English

Not enough adults are getting the recommended #Lpa tests, partly due to cost. New research featured on @LpaForum shows AI could help identify those most at risk — reducing tests needed until universal screening is possible.
lpaforum.org/machine-learni…
@imperialcollege @ProfKausikRay

English
Prof Kausik Ray FMedSci retweetledi

1 - Day #4 of #RoadToEASCongress2026 challenge to #SoMe ambassadors.
The year: 2024. The city: beautiful Lyon. One of the most impactful initiatives led by @society_eas during @ProfKausikRay's term as president, was the strengthening of collaborations with...(follow) 👇👇


English




