scodiu

743 posts

scodiu banner
scodiu

scodiu

@scodiu

Math teacher

Ajaccio, France Katılım Kasım 2009
102 Takip Edilen54 Takipçiler
scodiu
scodiu@scodiu·
@stemexplor Weight of object P Case 1 P=P1+P2 (parallel) Case 2 P>>P1+P2
scodiu tweet media
English
0
0
0
130
S.T.E.M Explorer
S.T.E.M Explorer@stemexplor·
The Anti-Gravity Board Illusion
English
39
125
1.1K
395.1K
Gray Grantham
Gray Grantham@GrayGrantham57·
@Lilly_22100 Don't know, but my guess would be the spring would collapse and all of the elastic potential energy stored in the expanded spring would transfer into increased downward force .
English
4
0
9
859
Lilly 🇦🇨
Lilly 🇦🇨@Lilly_22100·
Which ball will touch the ground first?
Lilly 🇦🇨 tweet media
English
440
107
223
28.6K
scodiu
scodiu@scodiu·
@TonyBur87179224 @itsmyfeelingss_ @Lilly_22100 Indeed,is there energy transferred from the spring to the ball... ? I wonder whether this causes additional acceleration when the spring contracts toward the ball? In this case, it is likely that energy is transferred.
English
0
0
0
17
Tony Burke
Tony Burke@TonyBur87179224·
@itsmyfeelingss_ @Lilly_22100 A - because the recompressing spring would add to the downward force of gravity slapping A downward - B would just fall under gravity. Isn't the energy in A, Ball+spring; while that in B, is ball only. Please help me if i'm wrong.
English
1
0
1
128
Ruksana Ansar
Ruksana Ansar@RuksanaAnsar·
Tell me the number greater than this 0.0001% will win
Ruksana Ansar tweet media
English
5.6K
187
725
259.8K
scodiu
scodiu@scodiu·
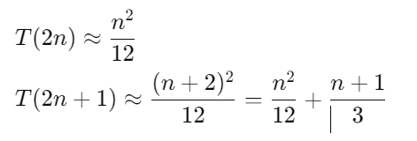
@jamestanton A=ax/2 =by/2 =cz/2 ⇒ 1/a+1/b+1/c=P/(2A)=1/2 (P=A)CQFD
Français
0
0
1
50
James Tanton
James Tanton@jamestanton·
The 7-15-20 triangle has perimeter and area both of numerical value 42. If x, y, z are the three altitudes of the triangle, prove that 1/x + 1/y + 1/z equals the nice rational number 1/2.
James Tanton tweet media
English
4
1
13
1.5K
Sumit Kaushik
Sumit Kaushik@kaushik_sumit·
@jamestanton Odd perimeters give more Δ pairs than even ones. Because the Δ inequality a < P/2 allows more integer solutions when P is odd with no half-integer symmetry to restrict combinations.
English
1
1
0
100
James Tanton
James Tanton@jamestanton·
Today's Puzzle: There are 4 triangles with integer side lengths of perimeter 11, but only 3 of perimeter 12. Is the count of integer triangles of perimeter 2N always greater than the count of integer triangles of perimeter 2N+1?
James Tanton tweet media
English
2
3
13
1.3K
James Tanton
James Tanton@jamestanton·
@scodiu Try drawing a picture of each of the your suggested triangles. There is something curious afoot!
English
1
0
3
47
James Tanton
James Tanton@jamestanton·
Today's Puzzle: One can make 4 triangles with integer side lengths and perimeter 11. How many such triangles can you make of perimeter 12?
James Tanton tweet media
English
3
3
16
1.5K
scodiu
scodiu@scodiu·
@BredsguardDalen Il n'y a que toi qui voit le cheval avancé tu dois avoir un 4e chromosome
Français
0
0
0
24
scodiu
scodiu@scodiu·
@mnd233445 The data is incorrect; we arrive at a contradiction after finding x = 36/7 and y = 36/7, which does not equal 18...
English
0
0
0
10
EXTRA
EXTRA@mnd233445·
Shaded area = ?
EXTRA tweet media
English
97
5
62
5.2K
mariana Z
mariana Z@mariana057·
Roadside sobriety test are getting ridiculous. Last night, I had to fold a fitted sheet.
English
75
74
981
13.8K
scodiu
scodiu@scodiu·
@jamestanton toute ligne qui "pénètre" dans une figure doit en ressortir: d'où un nombre pair sauf si il y a tangence ;-)
Français
0
0
0
38
James Tanton
James Tanton@jamestanton·
If two congruent concave quadrilaterals meet an odd number of times, must it be because at least one of those point is a point of tangency?
James Tanton tweet media
English
4
3
21
1.5K
Tokyo
Tokyo@otokyo__·
Drop your answer! 👇👇👇
Tokyo tweet media
English
2K
24
232
59K