
Kenneth Noisewater
43.7K posts



A 15-year-old kid was beaten and shot to death at a Southeast Queens playground yesterday. And somehow this isn’t the top story. Credit to AG Letitia James & BP Richards for speaking up. Where is everyone else, including @NYCMayor Mamdani? Outrage shouldn’t depend on zip code. Every child deserves protection. Call NYPD at 800-577-TIPS if you know anything.

"Your female coworker reported you for hearting her Teams message. We have zero tolerance for sexual harassment at this workplace."


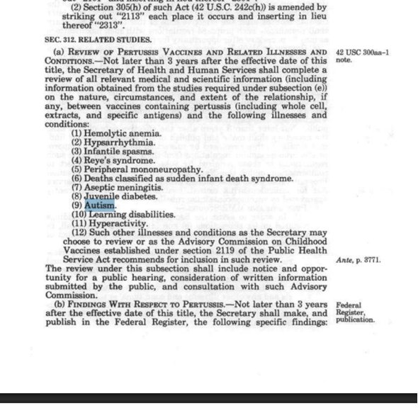
The idea vaccines cause autism was invented by Andrew Wakefield in 1998 and was so thoroughly debunked he lost his license for gross malpractice And here we are 27 years later RFK Jr and his fans dredging up the same nonsense Such a tiresome waste of time





I’ve never seen someone get so worked up over raw milk Also, I could be wrong, but I’m not sure that’s her natural hair color


This is Kyle Phalen, the dysgenic BLM worshipper that doxxed Howling Mutant.

Freedom of speech is sacrosanct to our democracy. But disinformation is different. It’s bad-faith actors, often based overseas, who are monetising lies and hatred for their own political or financial gain. It’s the opposite of our democratic values.

And, the actions we took have already saved lives. We have given commonsense tools like the “red flag” law to law enforcement, the courts and our communities to help keep our families safe even as we ensure due process and protect Constitutional rights. richmond.com/news/state-and…

Philly Mayor Charelle Parker: "How dare you tell me, as mayor, how to tax you?"


Here in North Carolina and around the country, gas prices are too high. This is a direct result of Donald Trump's war of choice in Iran, and the American people are paying the price.


Democrat Rep. Ayanna Pressley: “There are 350,000 Haitian nationals in this country. Deporting those Haitian nationals back to Haiti, a country that is politically destabilized with rampant gang violence, is a death sentence.”






