




Jane Nena
1K posts









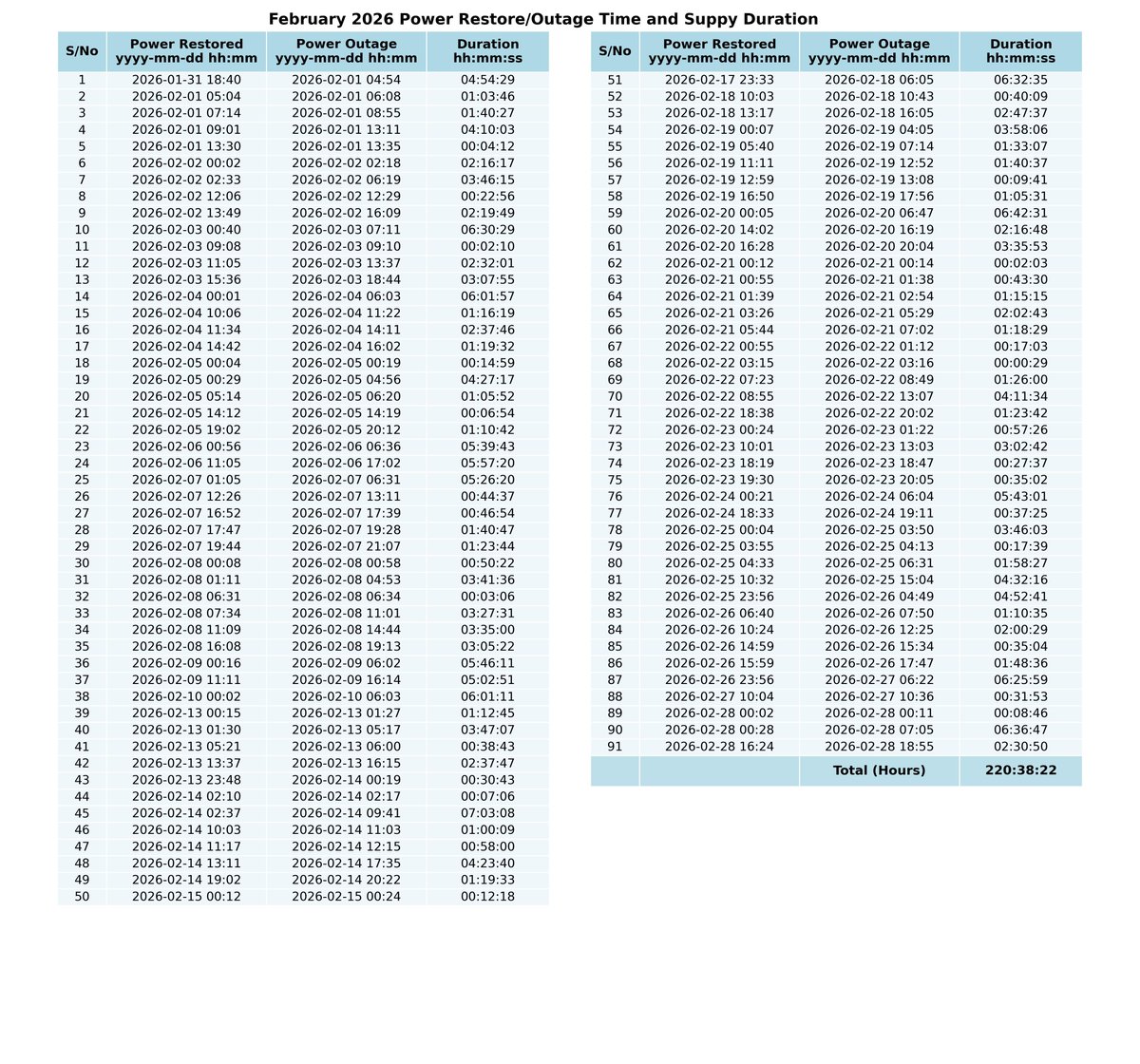
Dear @EKEDP, Attached are the details of power supply to FESTAC 11kV-71 Road for December 2025. The average daily supply for the month was approximately 9 hours and 11 minutes — well below the expected minimum of 16 hours per day for Band B customers. This report highlights the fifteenth consecutive month of being shortchanged, from October 2024 through December 2025. Despite all our complaints, @EKEDP has taken no meaningful steps to address the issues raised. The December 2025 report also underscores the hardship experienced during the Christmas period, including a prolonged outage (among others) that lasted nearly four days. We would like to further highlight how @EKEDP has consistently maintained high energy caps for postpaid customers on our feeder, despite significant drops in supply duration. It is noteworthy that our average energy caps appear to exceed those of households in developed nations, where power supply is constant and uninterrupted. We demand that @EKEDP compensate us as outlined in relevant NERC regulations, given the failure over the last 15 months to achieve at least 90% of the committed service level in any month. We also call on @EKEDP to address the other issues raised. In conclusion, we expect you to fulfil your responsibility and provide the level of service for which we are being charged. Thank you. @EKEDP @NERCNG @TCN_NIGERIA @fccpcnigeria @federal_power @IkejaElectric @fgnpcppi @anedng @dafeakpeneye @NationalGridNg @PowerUpNG @nepawahalang @electricitylawr @eyooekpo @AritOkpo1 @eta_habyb @asemota @DrJoeAbah @SamAmadi @AbdulMahmud01 @InibeheEffiong @festaconline @FestacCommunity @Festacconnect @AndahKizito @OnimsAndah @mr_gop_ng @Signora_Larissa @Shinyapple401 @henrikpope @hackSultan @unicodeveloper @GbanAnybody @marvelfairs @bigbrovar @omoalhajaabiola @FinPlanKaluAja1 @akaneubi @OludareAkinyele @sbmintelligence @StatiSense







